Approximation Algorithms for Degree-constrained Bipartite Network Flow [PS]

Elif Akcali and Alper Üngör

To appear in Proceedings of Int. Symposium on Computer and Information Sciences
Antalya, Turkey, Nov 2003. Springer LNCS-series.

Abstract:
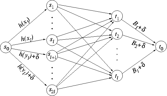
We consider a tool- and setup-constrained short-term capacity allocation problem that arises in operational level planning at a semiconductor wafer fabrication facility. We formulate this problem as a degree-constrained network flow problem on a bipartite graph. We show that the problem is NP-hard and propose the first constant factor (1/2) approximation algorithms. Experimental study demonstrates that, in practice, our algorithms give solutions that are on the average less than 1.5% away from the optimal solution in less than a second.

Alper Ungor (ungor@cs.duke.edu) May 30 2001