Matrix: Schenk_IBMNA/c-50
Description: IBM TJ Watson, non-linear optimization
![]() |
| (undirected graph drawing) |
![]() |
![]() |
| Matrix properties | |
| number of rows | 22,401 |
| number of columns | 22,401 |
| nonzeros | 180,245 |
| structural full rank? | yes |
| structural rank | 22,401 |
| # of blocks from dmperm | 3 |
| # strongly connected comp. | 3 |
| explicit zero entries | 13,380 |
| nonzero pattern symmetry | symmetric |
| numeric value symmetry | symmetric |
| type | real |
| structure | symmetric |
| Cholesky candidate? | no |
| positive definite? | no |
| author | IBM |
| editor | O. Schenk |
| date | 2006 |
| kind | optimization problem |
| 2D/3D problem? | no |
| Additional fields | size and type |
| b | full 22401-by-1 |
| Ordering statistics: | result |
| nnz(chol(P*(A+A'+s*I)*P')) with AMD | 341,148 |
| Cholesky flop count | 5.2e+07 |
| nnz(L+U), no partial pivoting, with AMD | 659,895 |
| nnz(V) for QR, upper bound nnz(L) for LU, with COLAMD | 20,564,894 |
| nnz(R) for QR, upper bound nnz(U) for LU, with COLAMD | 38,976,276 |
Note that all matrix statistics (except nonzero pattern symmetry) exclude the 13380 explicit zero entries.
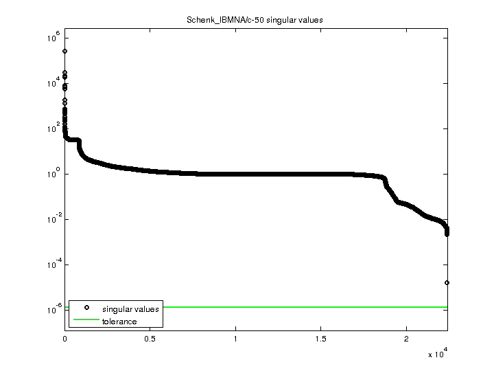
| SVD-based statistics: | |
| norm(A) | 265860 |
| min(svd(A)) | 1.67639e-05 |
| cond(A) | 1.5859e+10 |
| rank(A) | 22,401 |
| sprank(A)-rank(A) | 0 |
| null space dimension | 0 |
| full numerical rank? | yes |
| singular values (MAT file): | click here |
| SVD method used: | s = svd (full (R)) ; where [~,R,E] = spqr (A) with droptol of zero |
| status: | ok |

For a description of the statistics displayed above, click here.
Maintained by Tim Davis, last updated 12-Mar-2014.
Matrix pictures by cspy, a MATLAB function in the CSparse package.
Matrix graphs by Yifan Hu, AT&T Labs Visualization Group.