Matrix: SNAP/p2p-Gnutella24
Description: Gnutella peer to peer network from August 24 2002
![]() |
![]() |
| (bipartite graph drawing) | (graph drawing of A+A') |
![]() |
| Matrix properties | |
| number of rows | 26,518 |
| number of columns | 26,518 |
| nonzeros | 65,369 |
| # strongly connected comp. | 20,167 |
| explicit zero entries | 0 |
| nonzero pattern symmetry | 0% |
| numeric value symmetry | 0% |
| type | binary |
| structure | unsymmetric |
| Cholesky candidate? | no |
| positive definite? | no |
| author | M. Ripeanu and I. Foster and A. Iamnitchi |
| editor | J. Leskovec |
| date | 2002 |
| kind | directed graph |
| 2D/3D problem? | no |
Notes:
Networks from SNAP (Stanford Network Analysis Platform) Network Data Sets,
Jure Leskovec http://snap.stanford.edu/data/index.html
email jure at cs.stanford.edu
Gnutella peer-to-peer network, August 24 2002
Dataset information
A sequence of snapshots of the Gnutella peer-to-peer file sharing network from
August 2002. There are total of 9 snapshots of Gnutella network collected in
August 2002. Nodes represent hosts in the Gnutella network topology and edges
represent connections between the Gnutella hosts.
Dataset statistics
Nodes 26518
Edges 65369
Nodes in largest WCC 26498 (0.999)
Edges in largest WCC 65359 (1.000)
Nodes in largest SCC 6352 (0.240)
Edges in largest SCC 22928 (0.351)
Average clustering coefficient 0.0094
Number of triangles 986
Fraction of closed triangles 0.004101
Diameter (longest shortest path) 10
90-percentile effective diameter 6.1
Source (citation)
J. Leskovec, J. Kleinberg and C. Faloutsos. Graph Evolution: Densification and
Shrinking Diameters. ACM Transactions on Knowledge Discovery from Data (ACM
TKDD), 1(1), 2007.
M. Ripeanu and I. Foster and A. Iamnitchi. Mapping the Gnutella Network:
Properties of Large-Scale Peer-to-Peer Systems and Implications for System
Design. IEEE Internet Computing Journal, 2002.
Files
File Description
p2p-Gnutella24.txt.gz Directed Gnutella P2P network from August 24 2002
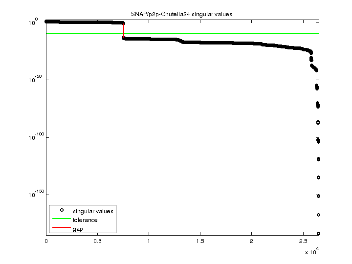
| SVD-based statistics: | |
| norm(A) | 19.116 |
| min(svd(A)) | 0 |
| cond(A) | Inf |
| rank(A) | 7,552 |
| null space dimension | 18,966 |
| full numerical rank? | no |
| singular value gap | 1.05874e+12 |
| singular values (MAT file): | click here |
| SVD method used: | s = svd (full (A)) |
| status: | ok |

For a description of the statistics displayed above, click here.
Maintained by Tim Davis, last updated 12-Mar-2014.
Matrix pictures by cspy, a MATLAB function in the CSparse package.
Matrix graphs by Yifan Hu, AT&T Labs Visualization Group.