Matrix: SNAP/as-caida
Description: (122 graphs) CAIDA AS Relationships Datasets, from 1/04-11/07
![]() |
| (undirected graph drawing) |
![]() |
| Matrix properties | |
| number of rows | 31,379 |
| number of columns | 31,379 |
| nonzeros | 106,762 |
| # strongly connected comp. | 4,905 |
| explicit zero entries | 0 |
| nonzero pattern symmetry | symmetric |
| numeric value symmetry | 8% |
| type | integer |
| structure | unsymmetric |
| Cholesky candidate? | no |
| positive definite? | no |
| author | J. Leskovec, J. Kleinberg and C. Faloutsos |
| editor | J. Leskovec |
| date | 2007 |
| kind | directed weighted graph sequence |
| 2D/3D problem? | no |
| Additional fields | size and type |
| G | cell 122-by-1 |
| Gname | full 122-by-16 |
| nodename | full 31379-by-1 |
Notes:
Networks from SNAP (Stanford Network Analysis Platform) Network Data Sets,
Jure Leskovec http://snap.stanford.edu/data/index.html
email jure at cs.stanford.edu
CAIDA AS Relationships Datasets
Dataset information
The dataset contains 122 CAIDA AS graphs, from January 2004 to November 2007 -
http://www.caida.org/data/active/as-relationships/ . Each file contains a full
AS graph derived from a set of RouteViews BGP table snapshots.
Dataset statistics are calculated for the graph with the highest number of
nodes - dataset from November 5 2007. Dataset statistics for graph with
highest number of nodes - 11 5 2007
Nodes 26475
Edges 106762
Nodes in largest WCC 26475 (1.000)
Edges in largest WCC 106762 (1.000)
Nodes in largest SCC 26475 (1.000)
Edges in largest SCC 106762 (1.000)
Average clustering coefficient 0.2082
Number of triangles 36365
Fraction of closed triangles 0.007319
Diameter (longest shortest path) 17
90-percentile effective diameter 4.6
Source (citation)
J. Leskovec, J. Kleinberg and C. Faloutsos. Graphs over Time: Densification
Laws, Shrinking Diameters and Possible Explanations. ACM SIGKDD International
Conference on Knowledge Discovery and Data Mining (KDD), 2005.
Files
File Description
as-caida20071105.txt.gz CAIDA AS graph from November 5 2007
as-caida.tar.gz 122 CAIDA AS graphs from January 2004 to November 2007
NOTE for UF Sparse Matrix Collection: these graphs are weighted. In the
original SNAP data set, the edge weights are in the set {-1, 0, 1, 2}. Note
that "0" is an edge weight. This can be handled in the UF collection for the
primary sparse matrix in a Problem, but not when the matrices are in a sequence
in the Problem.aux MATLAB struct. The entries with zero edge weight would
become lost. To correct for this, the weights are modified by adding 2 to each
weight. This preserves the structure of the original graphs, so that edges
with weight zero are not lost. (A non-edge is not the same as an edge with
weight zero in this problem).
old new weights:
-1 1
0 2
1 3
2 4
So to obtain the original weights, subtract 2 from each entry.
The primary sparse matrix for this problem is the as-caida20071105 matrix, or
Problem.aux.G{121}, the second-to-the-last graph in the sequence.
The nodes are uniform across all graphs in the sequence in the UF collection.
That is, nodes do not come and go. A node that is "gone" simply has no edges.
This is to allow comparisons across each node in the graphs.
Problem.aux.nodenames gives the node numbers of the original problem. So
row/column i in the matrix is always node number Problem.aux.nodenames(i) in
all the graphs.
Problem.aux.G{k} is the kth graph in the sequence.
Problem.aux.Gname(k,:) is the name of the kth graph.
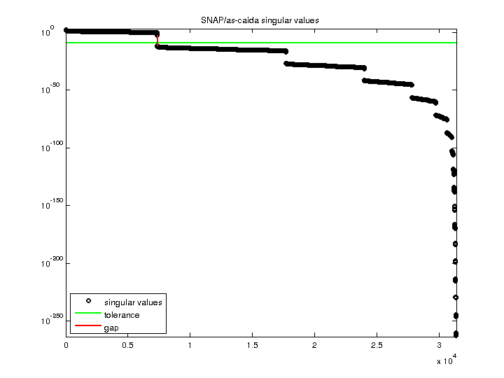
| SVD-based statistics: | |
| norm(A) | 182.249 |
| min(svd(A)) | 0 |
| cond(A) | Inf |
| rank(A) | 7,360 |
| null space dimension | 24,019 |
| full numerical rank? | no |
| singular value gap | 2.56365e+09 |
| singular values (MAT file): | click here |
| SVD method used: | s = svd (full (A)) |
| status: | ok |

For a description of the statistics displayed above, click here.
Maintained by Tim Davis, last updated 12-Mar-2014.
Matrix pictures by cspy, a MATLAB function in the CSparse package.
Matrix graphs by Yifan Hu, AT&T Labs Visualization Group.