Matrix: Rajat/rajat27
Description: Rajat/rajat27 circuit simulation matrix
![]() |
![]() |
| (bipartite graph drawing) | (graph drawing of A+A') |
![]() |
![]() |
![]() |
| Matrix properties | |
| number of rows | 20,640 |
| number of columns | 20,640 |
| nonzeros | 97,353 |
| structural full rank? | yes |
| structural rank | 20,640 |
| # of blocks from dmperm | 4,593 |
| # strongly connected comp. | 1,556 |
| explicit zero entries | 2,424 |
| nonzero pattern symmetry | 96% |
| numeric value symmetry | 30% |
| type | real |
| structure | unsymmetric |
| Cholesky candidate? | no |
| positive definite? | no |
| author | Rajat |
| editor | T. Davis |
| date | 2006 |
| kind | circuit simulation problem |
| 2D/3D problem? | no |
| Ordering statistics: | result |
| nnz(chol(P*(A+A'+s*I)*P')) with AMD | 85,111 |
| Cholesky flop count | 6.2e+05 |
| nnz(L+U), no partial pivoting, with AMD | 149,582 |
| nnz(V) for QR, upper bound nnz(L) for LU, with COLAMD | 1,439,832 |
| nnz(R) for QR, upper bound nnz(U) for LU, with COLAMD | 4,620,735 |
Note that all matrix statistics (except nonzero pattern symmetry) exclude the 2424 explicit zero entries.
| SVD-based statistics: | |
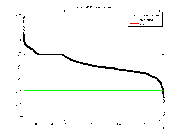
| norm(A) | 769115 |
| min(svd(A)) | 4.38585e-10 |
| cond(A) | 1.75363e+15 |
| rank(A) | 20,542 |
| sprank(A)-rank(A) | 98 |
| null space dimension | 98 |
| full numerical rank? | no |
| singular value gap | 1.1305 |
| singular values (MAT file): | click here |
| SVD method used: | s = svd (full (R)) ; where [~,R,E] = spqr (A) with droptol of zero |
| status: | ok |

For a description of the statistics displayed above, click here.
Maintained by Tim Davis, last updated 12-Mar-2014.
Matrix pictures by cspy, a MATLAB function in the CSparse package.
Matrix graphs by Yifan Hu, AT&T Labs Visualization Group.