Matrix: Rajat/rajat15
Description: Rajat/rajat15 circuit simulation matrix
![]() |
| (undirected graph drawing) |
![]() |
![]() |
| Matrix properties | |
| number of rows | 37,261 |
| number of columns | 37,261 |
| nonzeros | 443,573 |
| structural full rank? | yes |
| structural rank | 37,261 |
| # of blocks from dmperm | 19 |
| # strongly connected comp. | 1 |
| explicit zero entries | 0 |
| nonzero pattern symmetry | symmetric |
| numeric value symmetry | 94% |
| type | real |
| structure | unsymmetric |
| Cholesky candidate? | no |
| positive definite? | no |
| author | Rajat |
| editor | T. Davis |
| date | 2006 |
| kind | circuit simulation problem |
| 2D/3D problem? | no |
| Ordering statistics: | result |
| nnz(chol(P*(A+A'+s*I)*P')) with AMD | 809,507 |
| Cholesky flop count | 6.6e+07 |
| nnz(L+U), no partial pivoting, with AMD | 1,581,753 |
| nnz(V) for QR, upper bound nnz(L) for LU, with COLAMD | 52,562,877 |
| nnz(R) for QR, upper bound nnz(U) for LU, with COLAMD | 85,820,610 |
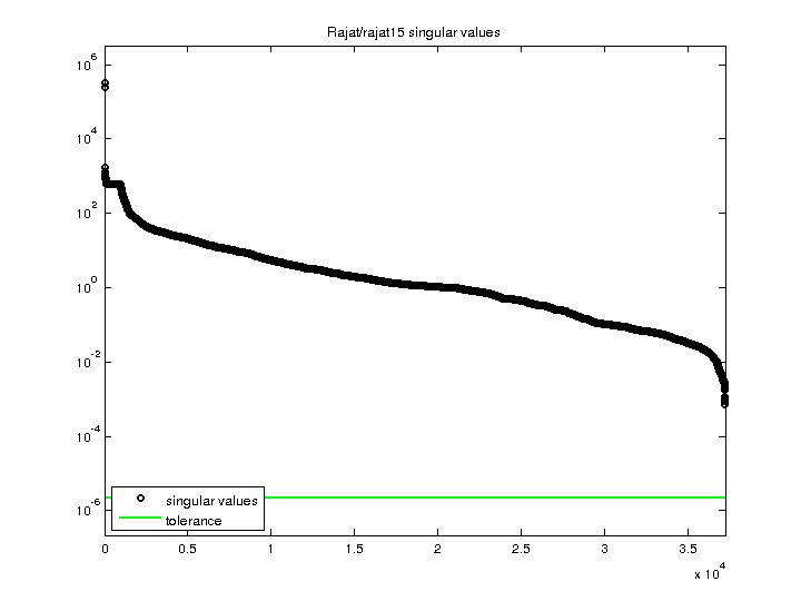
| SVD-based statistics: | |
| norm(A) | 326847 |
| min(svd(A)) | 0.000710359 |
| cond(A) | 4.60115e+08 |
| rank(A) | 37,261 |
| sprank(A)-rank(A) | 0 |
| null space dimension | 0 |
| full numerical rank? | yes |
| singular values (MAT file): | click here |
| SVD method used: | s = svd (full (A)) |
| status: | ok |

For a description of the statistics displayed above, click here.
Maintained by Tim Davis, last updated 12-Mar-2014.
Matrix pictures by cspy, a MATLAB function in the CSparse package.
Matrix graphs by Yifan Hu, AT&T Labs Visualization Group.