Matrix: Qaplib/lp_nug20
Description: Netlib LP problem nug20: minimize c'*x, where Ax=b, lo<=x<=hi
![]() |
| (bipartite graph drawing) |
![]() |
| Matrix properties | |
| number of rows | 15,240 |
| number of columns | 72,600 |
| nonzeros | 304,800 |
| structural full rank? | yes |
| structural rank | 15,240 |
| # of blocks from dmperm | 1 |
| # strongly connected comp. | 1 |
| explicit zero entries | 0 |
| nonzero pattern symmetry | 0% |
| numeric value symmetry | 0% |
| type | integer |
| structure | rectangular |
| Cholesky candidate? | no |
| positive definite? | no |
| author | M. Resende |
| editor | M. Resende |
| date | 1995 |
| kind | linear programming problem |
| 2D/3D problem? | no |
| Additional fields | size and type |
| b | full 15240-by-1 |
| c | full 72600-by-1 |
| lo | full 72600-by-1 |
| hi | full 72600-by-1 |
| z0 | full 1-by-1 |
| Ordering statistics: | result |
| nnz(V) for QR, upper bound nnz(L) for LU, with COLAMD | 666,619,904 |
| nnz(R) for QR, upper bound nnz(U) for LU, with COLAMD | 63,208,943 |
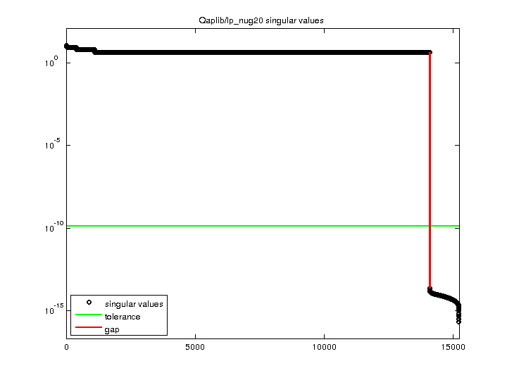
| SVD-based statistics: | |
| norm(A) | 11.4346 |
| min(svd(A)) | 2.13042e-16 |
| cond(A) | 5.36728e+16 |
| rank(A) | 14,098 |
| sprank(A)-rank(A) | 1,142 |
| null space dimension | 1,142 |
| full numerical rank? | no |
| singular value gap | 1.78016e+14 |
| singular values (MAT file): | click here |
| SVD method used: | s = svd (full (R)) ; where [~,R,E] = spqr (A') with droptol of zero |
| status: | ok |

For a description of the statistics displayed above, click here.
Maintained by Tim Davis, last updated 12-Mar-2014.
Matrix pictures by cspy, a MATLAB function in the CSparse package.
Matrix graphs by Yifan Hu, AT&T Labs Visualization Group.