Matrix: Newman/karate
Description: Karate club, from Wayne Zachary, 1977
![]() |
| (undirected graph drawing) |
![]() |
| Matrix properties | |
| number of rows | 34 |
| number of columns | 34 |
| nonzeros | 156 |
| # strongly connected comp. | 1 |
| explicit zero entries | 0 |
| nonzero pattern symmetry | symmetric |
| numeric value symmetry | symmetric |
| type | binary |
| structure | symmetric |
| Cholesky candidate? | no |
| positive definite? | no |
| author | W. Zachary |
| editor | M. Newman |
| date | 1977 |
| kind | undirected graph |
| 2D/3D problem? | no |
Notes:
Network collection from M. Newman
http://www-personal.umich.edu/~mejn/netdata/
The graph "karate" contains the network of friendships between the 34
members of a karate club at a US university, as described by Wayne Zachary
in 1977. If you use these data in your work, please cite W. W. Zachary, An
information flow model for conflict and fission in small groups, Journal of
Anthropological Research 33, 452-473 (1977).
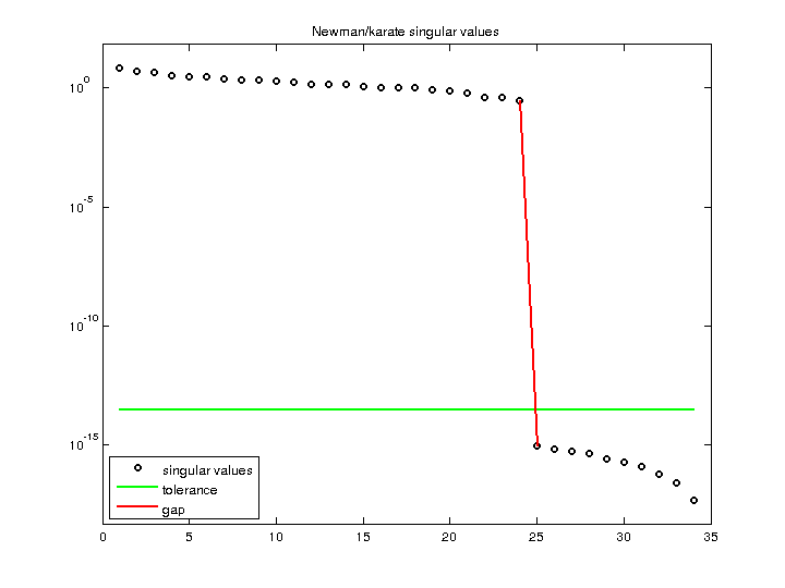
| SVD-based statistics: | |
| norm(A) | 6.7257 |
| min(svd(A)) | 5.06585e-18 |
| cond(A) | 1.32765e+18 |
| rank(A) | 24 |
| null space dimension | 10 |
| full numerical rank? | no |
| singular value gap | 3.04055e+14 |
| singular values (MAT file): | click here |
| SVD method used: | s = svd (full (A)) |
| status: | ok |

For a description of the statistics displayed above, click here.
Maintained by Tim Davis, last updated 12-Mar-2014.
Matrix pictures by cspy, a MATLAB function in the CSparse package.
Matrix graphs by Yifan Hu, AT&T Labs Visualization Group.