Matrix: Newman/cond-mat-2003
Description: collaboration network, preprints in condensed matter archive, www.arxiv.org
![]() |
| (undirected graph drawing) |
![]() |
![]() |
| Matrix properties | |
| number of rows | 31,163 |
| number of columns | 31,163 |
| nonzeros | 240,058 |
| # strongly connected comp. | 1,599 |
| explicit zero entries | 0 |
| nonzero pattern symmetry | symmetric |
| numeric value symmetry | symmetric |
| type | real |
| structure | symmetric |
| Cholesky candidate? | no |
| positive definite? | no |
| author | M. Newman |
| editor | M. Newman |
| date | 2003 |
| kind | undirected weighted graph |
| 2D/3D problem? | no |
| Additional fields | size and type |
| nodename | full 31163-by-25 |
Notes:
Network collection from M. Newman
http://www-personal.umich.edu/~mejn/netdata/
The graph cond-mat-2003 contains an updated version of cond-mat, the
collaboration network of scientists posting preprints on the condensed
matter archive at www.arxiv.org. This version is based on preprints posted
to the archive between January 1, 1995 and June 30, 2003. The largest
component of this network, which contains 27519 scientists, has been used
by several authors as a test-bed for community-finding algorithms for large
networks; see for example J. Duch and A. Arenas, Phys. Rev. E 72, 027104
(2005). The network is weighted, with weights assigned as described in
M. E. J. Newman, Phys. Rev. E 64, 016132 (2001).
These data can be cited as either of:
M. E. J. Newman, The structure of scientific collaboration networks,
Proc. Natl. Acad. Sci. USA 98, 404-409 (2001). This paper describes the
original 1999 version of the network.
M. E. J. Newman, Fast algorithm for detecting community structure in
networks, Phys. Rev. E 69, 066133 (2004). This paper describes the 2003
version.
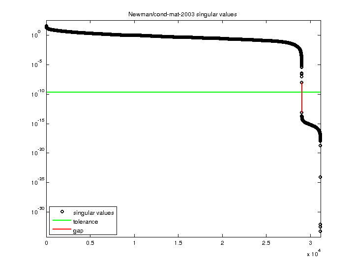
| SVD-based statistics: | |
| norm(A) | 38.5178 |
| min(svd(A)) | 6.00255e-34 |
| cond(A) | 6.41692e+34 |
| rank(A) | 29,038 |
| null space dimension | 2,125 |
| full numerical rank? | no |
| singular value gap | 138380 |
| singular values (MAT file): | click here |
| SVD method used: | s = svd (full (A)) |
| status: | ok |

For a description of the statistics displayed above, click here.
Maintained by Tim Davis, last updated 12-Mar-2014.
Matrix pictures by cspy, a MATLAB function in the CSparse package.
Matrix graphs by Yifan Hu, AT&T Labs Visualization Group.