Matrix: Newman/adjnoun
Description: Common adjective and nouns in "David Copperfield"
![]() |
| (undirected graph drawing) |
![]() |
| Matrix properties | |
| number of rows | 112 |
| number of columns | 112 |
| nonzeros | 850 |
| # strongly connected comp. | 1 |
| explicit zero entries | 0 |
| nonzero pattern symmetry | symmetric |
| numeric value symmetry | symmetric |
| type | binary |
| structure | symmetric |
| Cholesky candidate? | no |
| positive definite? | no |
| author | M. Newman |
| editor | M. Newman |
| date | 2006 |
| kind | undirected graph |
| 2D/3D problem? | no |
| Additional fields | size and type |
| nodename | full 112-by-9 |
| nodevalue | full 112-by-1 |
Notes:
Network collection from M. Newman
http://www-personal.umich.edu/~mejn/netdata/
The graph adjnoun contains the network of common adjective and noun
adjacencies for the novel "David Copperfield" by Charles Dickens, as
described by M. Newman. Nodes represent the most commonly occurring
adjectives and nouns in the book. Node values are 0 for adjectives and 1
for nouns. Edges connect any pair of words that occur in adjacent position
in the text of the book. Please cite M. E. J. Newman, Finding community
structure in networks using the eigenvectors of matrices, Preprint
physics/0605087 (2006).
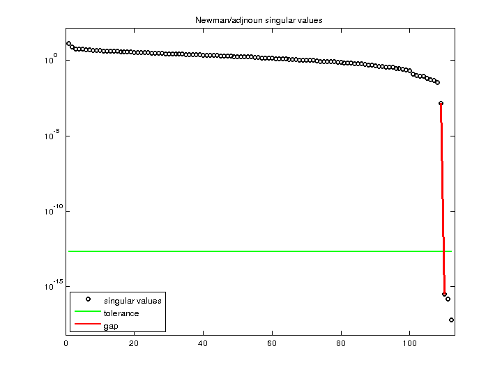
| SVD-based statistics: | |
| norm(A) | 13.1502 |
| min(svd(A)) | 6.01697e-18 |
| cond(A) | 2.18551e+18 |
| rank(A) | 109 |
| null space dimension | 3 |
| full numerical rank? | no |
| singular value gap | 4.45295e+12 |
| singular values (MAT file): | click here |
| SVD method used: | s = svd (full (A)) ; |
| status: | ok |

For a description of the statistics displayed above, click here.
Maintained by Tim Davis, last updated 12-Mar-2014.
Matrix pictures by cspy, a MATLAB function in the CSparse package.
Matrix graphs by Yifan Hu, AT&T Labs Visualization Group.