Matrix: Nasa/barth5
Description: BARTH5: Nasa matrix, but with a diagonal added to the original matrix
![]() |
![]() |
| (bipartite graph drawing) | (graph drawing of A+A') |
![]() |
![]() |
| Matrix properties | |
| number of rows | 15,606 |
| number of columns | 15,606 |
| nonzeros | 61,484 |
| structural full rank? | yes |
| structural rank | 15,606 |
| # of blocks from dmperm | 1,155 |
| # strongly connected comp. | 1,155 |
| explicit zero entries | 0 |
| nonzero pattern symmetry | 0% |
| numeric value symmetry | 0% |
| type | binary |
| structure | unsymmetric |
| Cholesky candidate? | no |
| positive definite? | no |
| author | NASA |
| editor | G. Kumfert, A. Pothen |
| date | 1995 |
| kind | duplicate structural problem |
| 2D/3D problem? | yes |
Notes:
Let A=Nasa/barth5, then Pothen/barth5 = spones(A+A') with xyz coord.
| Ordering statistics: | result |
| nnz(chol(P*(A+A'+s*I)*P')) with AMD | 368,416 |
| Cholesky flop count | 1.8e+07 |
| nnz(L+U), no partial pivoting, with AMD | 721,226 |
| nnz(V) for QR, upper bound nnz(L) for LU, with COLAMD | 211,062 |
| nnz(R) for QR, upper bound nnz(U) for LU, with COLAMD | 416,482 |
| SVD-based statistics: | |
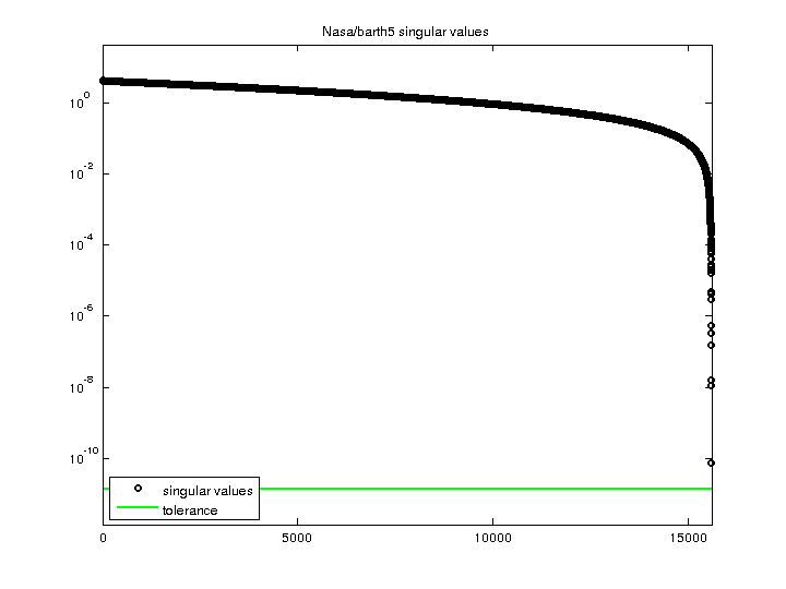
| norm(A) | 4.22767 |
| min(svd(A)) | 7.2247e-11 |
| cond(A) | 5.8517e+10 |
| rank(A) | 15,606 |
| sprank(A)-rank(A) | 0 |
| null space dimension | 0 |
| full numerical rank? | yes |
| singular values (MAT file): | click here |
| SVD method used: | s = svd (full (A)) ; |
| status: | ok |

For a description of the statistics displayed above, click here.
Maintained by Tim Davis, last updated 12-Mar-2014.
Matrix pictures by cspy, a MATLAB function in the CSparse package.
Matrix graphs by Yifan Hu, AT&T Labs Visualization Group.