Matrix: Mittelmann/rail582
Description: Italian railways (H. Mittelmann test set)
![]() |
| (bipartite graph drawing) |
![]() |
| Matrix properties | |
| number of rows | 582 |
| number of columns | 56,097 |
| nonzeros | 402,290 |
| structural full rank? | yes |
| structural rank | 582 |
| # of blocks from dmperm | 1 |
| # strongly connected comp. | 1 |
| explicit zero entries | 0 |
| nonzero pattern symmetry | 0% |
| numeric value symmetry | 0% |
| type | integer |
| structure | rectangular |
| Cholesky candidate? | no |
| positive definite? | no |
| author | P. Nobili |
| editor | J. Beasley |
| date | 2005 |
| kind | linear programming problem |
| 2D/3D problem? | no |
| Additional fields | size and type |
| b | full 582-by-1 |
| c | full 56097-by-1 |
| lo | full 56097-by-1 |
| hi | full 56097-by-1 |
| z0 | full 1-by-1 |
Notes:
Hans Mittelmann test set, http://plato.asu.edu/ftp/lptestset
minimize c'*x, subject to A*x=b and lo <= x <= hi
RAIL: set covering problems from the Italian railroad, see
http://people.brunel.ac.uk/~mastjjb/jeb/orlib/scpinfo.html
| Ordering statistics: | result |
| nnz(V) for QR, upper bound nnz(L) for LU, with COLAMD | 14,837,652 |
| nnz(R) for QR, upper bound nnz(U) for LU, with COLAMD | 98,409 |
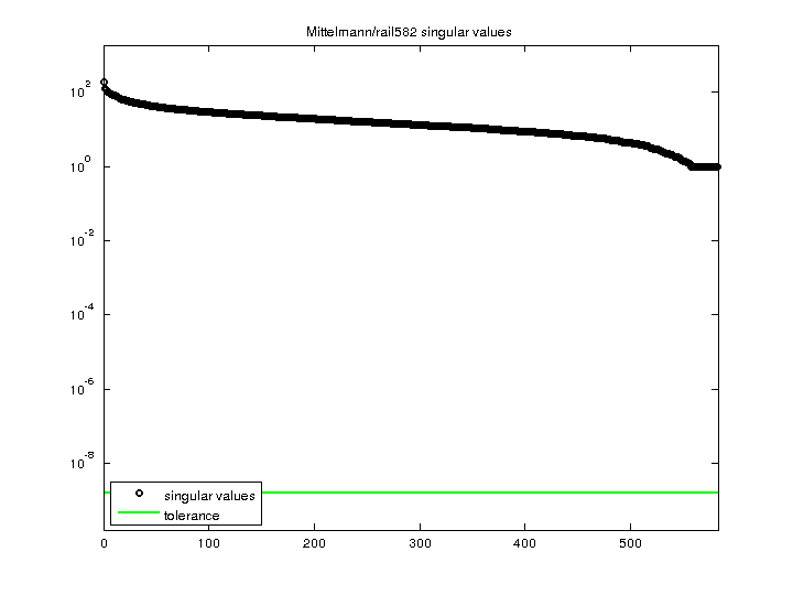
| SVD-based statistics: | |
| norm(A) | 185.907 |
| min(svd(A)) | 1 |
| cond(A) | 185.907 |
| rank(A) | 582 |
| sprank(A)-rank(A) | 0 |
| null space dimension | 0 |
| full numerical rank? | yes |
| singular values (MAT file): | click here |
| SVD method used: | s = svd (full (R)) ; where [~,R,E] = spqr (A') with droptol of zero |
| status: | ok |

For a description of the statistics displayed above, click here.
Maintained by Tim Davis, last updated 12-Mar-2014.
Matrix pictures by cspy, a MATLAB function in the CSparse package.
Matrix graphs by Yifan Hu, AT&T Labs Visualization Group.