Matrix: Meszaros/scagr7-2r
Description: LP sequence: scagr7-2r-4, 8, 16, 27, 32, 54, 64, 108, 216, 432, 864
![]() |
| (bipartite graph drawing) |
![]() |
![]() |
| Matrix properties | |
| number of rows | 32,847 |
| number of columns | 46,679 |
| nonzeros | 120,141 |
| structural full rank? | yes |
| structural rank | 32,847 |
| # of blocks from dmperm | 2 |
| # strongly connected comp. | 1 |
| explicit zero entries | 0 |
| nonzero pattern symmetry | 0% |
| numeric value symmetry | 0% |
| type | real |
| structure | rectangular |
| Cholesky candidate? | no |
| positive definite? | no |
| author | |
| editor | C. Meszaros |
| date | 2004 |
| kind | linear programming problem sequence |
| 2D/3D problem? | no |
| Additional fields | size and type |
| A | cell 11-by-1 |
| b | cell 11-by-1 |
| c | cell 11-by-1 |
| lo | cell 11-by-1 |
| hi | cell 11-by-1 |
| z0 | cell 11-by-1 |
Notes:
http://www.sztaki.hu/~meszaros/public_ftp/lptestset Converted to standard form via Resende and Veiga's mpsrd: minimize c'*x, subject to A*x=b and lo <= x <= hi Determinisitic equivalent of stochastic LP
| Ordering statistics: | result |
| nnz(V) for QR, upper bound nnz(L) for LU, with COLAMD | 109,363,912 |
| nnz(R) for QR, upper bound nnz(U) for LU, with COLAMD | 82,613,147 |
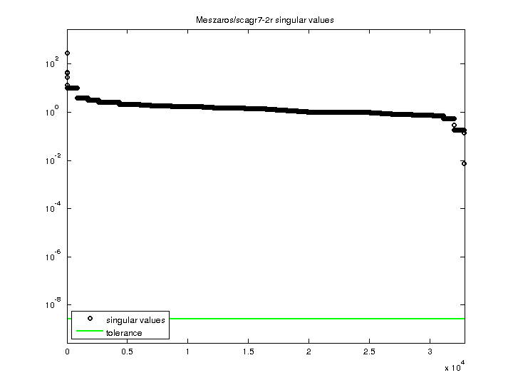
| SVD-based statistics: | |
| norm(A) | 280.448 |
| min(svd(A)) | 0.00725579 |
| cond(A) | 38651.7 |
| rank(A) | 32,847 |
| sprank(A)-rank(A) | 0 |
| null space dimension | 0 |
| full numerical rank? | yes |
| singular values (MAT file): | click here |
| SVD method used: | s = svd (full (R)) ; where [~,R,E] = spqr (A') with droptol of zero |
| status: | ok |

For a description of the statistics displayed above, click here.
Maintained by Tim Davis, last updated 12-Mar-2014.
Matrix pictures by cspy, a MATLAB function in the CSparse package.
Matrix graphs by Yifan Hu, AT&T Labs Visualization Group.