Matrix: Mancktelow/viscorocks
Description: FEM viscoelastic behavior of rocks, Neil Mancktelow, ETH-Zentrum
![]() |
| (undirected graph drawing) |
![]() |
![]() |
| Matrix properties | |
| number of rows | 37,762 |
| number of columns | 37,762 |
| nonzeros | 1,133,641 |
| structural full rank? | yes |
| structural rank | 37,762 |
| # of blocks from dmperm | 773 |
| # strongly connected comp. | 773 |
| explicit zero entries | 28,603 |
| nonzero pattern symmetry | symmetric |
| numeric value symmetry | 28% |
| type | real |
| structure | unsymmetric |
| Cholesky candidate? | no |
| positive definite? | no |
| author | N. Mancktelow |
| editor | T. Davis |
| date | 2007 |
| kind | materials problem |
| 2D/3D problem? | yes |
| Ordering statistics: | result |
| nnz(chol(P*(A+A'+s*I)*P')) with AMD | 2,711,148 |
| Cholesky flop count | 3.3e+08 |
| nnz(L+U), no partial pivoting, with AMD | 5,384,534 |
| nnz(V) for QR, upper bound nnz(L) for LU, with COLAMD | 6,061,883 |
| nnz(R) for QR, upper bound nnz(U) for LU, with COLAMD | 14,916,823 |
Note that all matrix statistics (except nonzero pattern symmetry) exclude the 28603 explicit zero entries.
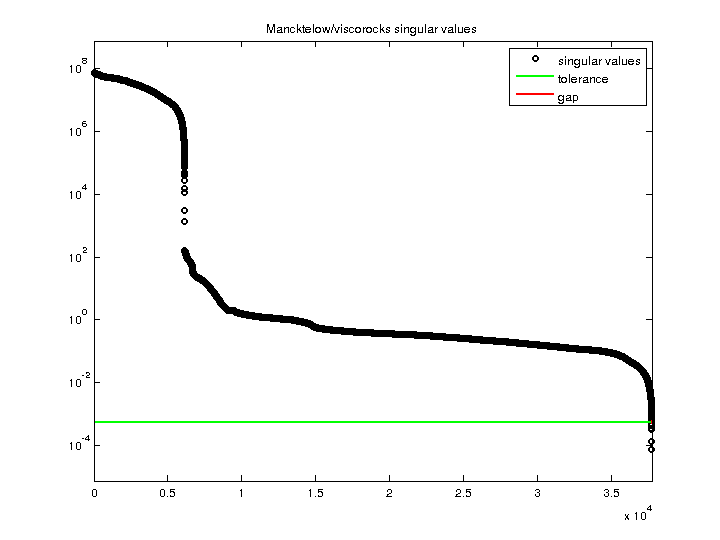
| SVD-based statistics: | |
| norm(A) | 7.41627e+07 |
| min(svd(A)) | 7.59074e-05 |
| cond(A) | 9.77015e+11 |
| rank(A) | 37,752 |
| sprank(A)-rank(A) | 10 |
| null space dimension | 10 |
| full numerical rank? | no |
| singular value gap | 1.23543 |
| singular values (MAT file): | click here |
| SVD method used: | s = svd (full (A)) |
| status: | ok |

For a description of the statistics displayed above, click here.
Maintained by Tim Davis, last updated 12-Mar-2014.
Matrix pictures by cspy, a MATLAB function in the CSparse package.
Matrix graphs by Yifan Hu, AT&T Labs Visualization Group.