Matrix: LPnetlib/lp_share1b
Description: Netlib LP problem share1b: minimize c'*x, where Ax=b, lo<=x<=hi
![]() |
| (bipartite graph drawing) |
![]() |
![]() |
| Matrix properties | |
| number of rows | 117 |
| number of columns | 253 |
| nonzeros | 1,179 |
| structural full rank? | yes |
| structural rank | 117 |
| # of blocks from dmperm | 6 |
| # strongly connected comp. | 1 |
| explicit zero entries | 0 |
| nonzero pattern symmetry | 0% |
| numeric value symmetry | 0% |
| type | real |
| structure | rectangular |
| Cholesky candidate? | no |
| positive definite? | no |
| author | M. Saunders |
| editor | D. Gay |
| date | |
| kind | linear programming problem |
| 2D/3D problem? | no |
| Additional fields | size and type |
| b | full 117-by-1 |
| c | full 253-by-1 |
| lo | full 253-by-1 |
| hi | full 253-by-1 |
| z0 | full 1-by-1 |
Notes:
A Netlib LP problem, in lp/data. For more information
send email to netlib@ornl.gov with the message:
send index from lp
send readme from lp/data
send minos from lp/data
The following are relevant excerpts from lp/data/readme (by David M. Gay):
The column and nonzero counts in the PROBLEM SUMMARY TABLE below exclude
slack and surplus columns and the right-hand side vector, but include
the cost row. We have omitted other free rows and all but the first
right-hand side vector, as noted below. The byte count is for the
MPS compressed file; it includes a newline character at the end of each
line. These files start with a blank initial line intended to prevent
mail programs from discarding any of the data. The BR column indicates
whether a problem has bounds or ranges: B stands for "has bounds", R
for "has ranges".
The optimal value is from MINOS version 5.3 (of Sept. 1988)
running on a VAX with default options.
PROBLEM SUMMARY TABLE
Name Rows Cols Nonzeros Bytes BR Optimal Value
SHARE1B 118 225 1182 8380 -7.6589318579E+04
From Michael Saunders, Systems Optimization Laboratory at Stanford University.
The following are relevant excerts from lp/data/minos (by Michael Saunders),
regarding experience with MINOS 5.0 on the problems he provided:
(unscaled) (scaled)
File Name Rows Cols Elems Optimal Objective Itns Time Itns Time
---- -------- ---- ---- ----- ----------------- ---- ---- ---- ----
4. SHARE1B 118 225 1182 -7.6589319E+04 296 3.4 260 2.8
* Objective is the first row of type N. It is minimized except as shown.
* Itns is the number of iterations required to solve the problem
by the primal simplex method, as implemented in the Fortran
code MINOS 5.0 (May 1985), using default values for all
parameters. (The initial basis is triangular.)
* Time is the processor time required on an IBM 3081K. The MINOS
source code was compiled with the IBM Fortran 77 compiler
VS FORTRAN, using the options NOSDUMP, NOSYM and OPT(3).
| Ordering statistics: | result |
| nnz(V) for QR, upper bound nnz(L) for LU, with COLAMD | 3,431 |
| nnz(R) for QR, upper bound nnz(U) for LU, with COLAMD | 1,429 |
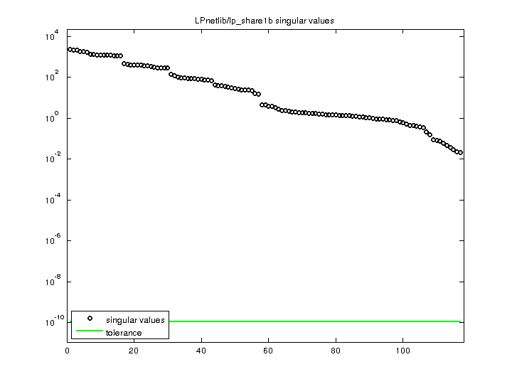
| SVD-based statistics: | |
| norm(A) | 2284.66 |
| min(svd(A)) | 0.021856 |
| cond(A) | 104532 |
| rank(A) | 117 |
| sprank(A)-rank(A) | 0 |
| null space dimension | 0 |
| full numerical rank? | yes |
| singular values (MAT file): | click here |
| SVD method used: | s = svd (full (A)) ; |
| status: | ok |

For a description of the statistics displayed above, click here.
Maintained by Tim Davis, last updated 12-Mar-2014.
Matrix pictures by cspy, a MATLAB function in the CSparse package.
Matrix graphs by Yifan Hu, AT&T Labs Visualization Group.