Matrix: LPnetlib/lp_fit1d
Description: Netlib LP problem fit1d: minimize c'*x, where Ax=b, lo<=x<=hi
![]() |
| (bipartite graph drawing) |
![]() |
| Matrix properties | |
| number of rows | 24 |
| number of columns | 1,049 |
| nonzeros | 13,427 |
| structural full rank? | yes |
| structural rank | 24 |
| # of blocks from dmperm | 1 |
| # strongly connected comp. | 1 |
| explicit zero entries | 0 |
| nonzero pattern symmetry | 0% |
| numeric value symmetry | 0% |
| type | real |
| structure | rectangular |
| Cholesky candidate? | no |
| positive definite? | no |
| author | R. Fourer |
| editor | R. Fourer |
| date | 1990 |
| kind | linear programming problem |
| 2D/3D problem? | no |
| Additional fields | size and type |
| b | full 24-by-1 |
| c | full 1049-by-1 |
| lo | full 1049-by-1 |
| hi | full 1049-by-1 |
| z0 | full 1-by-1 |
Notes:
A Netlib LP problem, in lp/data. For more information
send email to netlib@ornl.gov with the message:
send index from lp
send readme from lp/data
The following are relevant excerpts from lp/data/readme (by David M. Gay):
The column and nonzero counts in the PROBLEM SUMMARY TABLE below exclude
slack and surplus columns and the right-hand side vector, but include
the cost row. We have omitted other free rows and all but the first
right-hand side vector, as noted below. The byte count is for the
MPS compressed file; it includes a newline character at the end of each
line. These files start with a blank initial line intended to prevent
mail programs from discarding any of the data. The BR column indicates
whether a problem has bounds or ranges: B stands for "has bounds", R
for "has ranges". The BOUND-TYPE TABLE below shows the bound types
present in those problems that have bounds.
The optimal value is from MINOS version 5.3 (of Sept. 1988)
running on a VAX with default options.
PROBLEM SUMMARY TABLE
Name Rows Cols Nonzeros Bytes BR Optimal Value
FIT1D 25 1026 14430 51734 B -9.1463780924E+03
BOUND-TYPE TABLE
FIT1D UP
Supplied by Bob Fourer.
When included in Netlib: Cost coefficients negated.
Concerning FIT1D, FIT1P, FIT2D, FIT2P, Bob Fourer says
The pairs FIT1P/FIT1D and FIT2P/FIT2D are primal and
dual versions of the same two problems [except that we
have negated the cost coefficients of the dual problems
so all are minimization problems]. They originate from
a model for fitting linear inequalities to data, by
minimization of a sum of piecewise-linear penalties.
The FIT1 problems are based on 627 data points and 2-3
pieces per primal pl penalty term. The FIT2 problems
are based on 3000 data points (from a different sample
altogether) and 4-5 pieces per pl term.
Added to Netlib on 31 Jan. 1990
| Ordering statistics: | result |
| nnz(V) for QR, upper bound nnz(L) for LU, with COLAMD | 24,624 |
| nnz(R) for QR, upper bound nnz(U) for LU, with COLAMD | 300 |
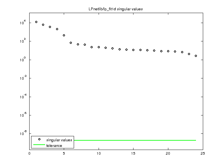
| SVD-based statistics: | |
| norm(A) | 12160.9 |
| min(svd(A)) | 2.5784 |
| cond(A) | 4716.47 |
| rank(A) | 24 |
| sprank(A)-rank(A) | 0 |
| null space dimension | 0 |
| full numerical rank? | yes |
| singular values (MAT file): | click here |
| SVD method used: | s = svd (full (R)) ; where [~,R,E] = spqr (A') with droptol of zero |
| status: | ok |

For a description of the statistics displayed above, click here.
Maintained by Tim Davis, last updated 12-Mar-2014.
Matrix pictures by cspy, a MATLAB function in the CSparse package.
Matrix graphs by Yifan Hu, AT&T Labs Visualization Group.