Matrix: JGD_Trefethen/Trefethen_300
Description: Diagonal matrices with primes, Nick Trefethen, Oxford Univ.
![]() |
| (undirected graph drawing) |
![]() |
| Matrix properties | |
| number of rows | 300 |
| number of columns | 300 |
| nonzeros | 4,678 |
| structural full rank? | yes |
| structural rank | 300 |
| # of blocks from dmperm | 1 |
| # strongly connected comp. | 1 |
| explicit zero entries | 0 |
| nonzero pattern symmetry | symmetric |
| numeric value symmetry | symmetric |
| type | integer |
| structure | symmetric |
| Cholesky candidate? | yes |
| positive definite? | yes |
| author | N. Trefethen |
| editor | J.-G. Dumas |
| date | 2008 |
| kind | combinatorial problem |
| 2D/3D problem? | no |
Notes:
Diagonal matrices with primes, Nick Trefethen, Oxford Univ.
From Jean-Guillaume Dumas' Sparse Integer Matrix Collection,
http://ljk.imag.fr/membres/Jean-Guillaume.Dumas/simc.html
Problem 7 of the Hundred-dollar, Hundred-digit Challenge Problems,
SIAM News, vol 35, no. 1.
7. Let A be the 20,000 x 20,000 matrix whose entries are zero
everywhere except for the primes 2, 3, 5, 7, . . . , 224737 along the
main diagonal and the number 1 in all the positions A(i,j) with
|i-j| = 1,2,4,8, . . . ,16384. What is the (1,1) entry of inv(A)?
http://www.siam.org/news/news.php?id=388
Filename in JGD collection: Trefethen/trefethen_300.sms
| Ordering statistics: | result |
| nnz(chol(P*(A+A'+s*I)*P')) with AMD | 20,230 |
| Cholesky flop count | 2.2e+06 |
| nnz(L+U), no partial pivoting, with AMD | 40,160 |
| nnz(V) for QR, upper bound nnz(L) for LU, with COLAMD | 32,715 |
| nnz(R) for QR, upper bound nnz(U) for LU, with COLAMD | 40,769 |
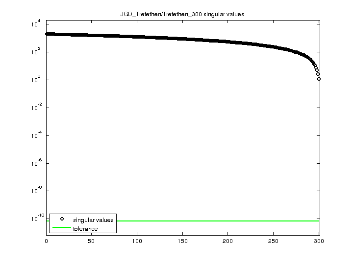
| SVD-based statistics: | |
| norm(A) | 1987.27 |
| min(svd(A)) | 1.12105 |
| cond(A) | 1772.69 |
| rank(A) | 300 |
| sprank(A)-rank(A) | 0 |
| null space dimension | 0 |
| full numerical rank? | yes |
| singular values (MAT file): | click here |
| SVD method used: | s = svd (full (A)) ; |
| status: | ok |

For a description of the statistics displayed above, click here.
Maintained by Tim Davis, last updated 12-Mar-2014.
Matrix pictures by cspy, a MATLAB function in the CSparse package.
Matrix graphs by Yifan Hu, AT&T Labs Visualization Group.