Matrix: JGD_Homology/n3c4-b3
Description: Simplicial complexes from Homology from Volkmar Welker.
![]() |
| (bipartite graph drawing) |
![]() |
| Matrix properties | |
| number of rows | 15 |
| number of columns | 20 |
| nonzeros | 60 |
| structural full rank? | yes |
| structural rank | 15 |
| # of blocks from dmperm | 1 |
| # strongly connected comp. | 1 |
| explicit zero entries | 0 |
| nonzero pattern symmetry | 0% |
| numeric value symmetry | 0% |
| type | integer |
| structure | rectangular |
| Cholesky candidate? | no |
| positive definite? | no |
| author | V. Welker |
| editor | J.-G. Dumas |
| date | 2008 |
| kind | combinatorial problem |
| 2D/3D problem? | no |
Notes:
Simplicial complexes from Homology from Volkmar Welker.
From Jean-Guillaume Dumas' Sparse Integer Matrix Collection,
http://ljk.imag.fr/membres/Jean-Guillaume.Dumas/simc.html
http://www.mathematik.uni-marburg.de/~welker/
Filename in JGD collection: Homology/n3c4.b3.15x20.sms
| Ordering statistics: | result |
| nnz(V) for QR, upper bound nnz(L) for LU, with COLAMD | 123 |
| nnz(R) for QR, upper bound nnz(U) for LU, with COLAMD | 105 |
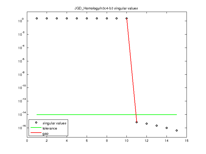
| SVD-based statistics: | |
| norm(A) | 2.44949 |
| min(svd(A)) | 4.12028e-17 |
| cond(A) | 5.94496e+16 |
| rank(A) | 10 |
| sprank(A)-rank(A) | 5 |
| null space dimension | 5 |
| full numerical rank? | no |
| singular value gap | 3.51647e+15 |
| singular values (MAT file): | click here |
| SVD method used: | s = svd (full (R)) ; where [~,R,E] = spqr (A') with droptol of zero |
| status: | ok |

For a description of the statistics displayed above, click here.
Maintained by Tim Davis, last updated 12-Mar-2014.
Matrix pictures by cspy, a MATLAB function in the CSparse package.
Matrix graphs by Yifan Hu, AT&T Labs Visualization Group.