Matrix: HB/mcca
Description: U NON-LTE PROBLEM ASTROPHYSICS.CODE:M.CARLSSON, ATOM=CA 2 ATMOS=VAL3C .
![]() |
![]() |
| (bipartite graph drawing) | (graph drawing of A+A') |
![]() |
![]() |
| Matrix properties | |
| number of rows | 180 |
| number of columns | 180 |
| nonzeros | 2,659 |
| structural full rank? | yes |
| structural rank | 180 |
| # of blocks from dmperm | 6 |
| # strongly connected comp. | 6 |
| explicit zero entries | 0 |
| nonzero pattern symmetry | 64% |
| numeric value symmetry | 0% |
| type | real |
| structure | unsymmetric |
| Cholesky candidate? | no |
| positive definite? | no |
| author | M. Carlsson |
| editor | I. Duff, R. Grimes, J. Lewis |
| date | 1985 |
| kind | 2D/3D problem |
| 2D/3D problem? | yes |
| Ordering statistics: | result |
| nnz(chol(P*(A+A'+s*I)*P')) with AMD | 2,001 |
| Cholesky flop count | 3.7e+04 |
| nnz(L+U), no partial pivoting, with AMD | 3,822 |
| nnz(V) for QR, upper bound nnz(L) for LU, with COLAMD | 3,160 |
| nnz(R) for QR, upper bound nnz(U) for LU, with COLAMD | 5,165 |
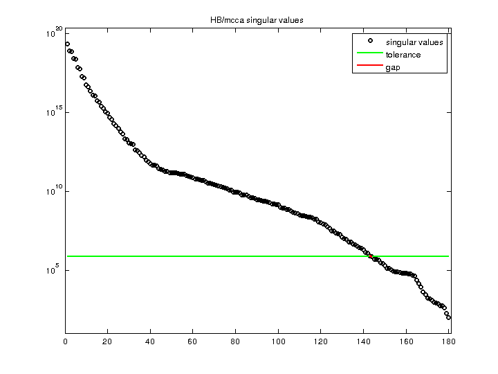
| SVD-based statistics: | |
| norm(A) | 2.04423e+19 |
| min(svd(A)) | 104.632 |
| cond(A) | 1.95374e+17 |
| rank(A) | 143 |
| sprank(A)-rank(A) | 37 |
| null space dimension | 37 |
| full numerical rank? | no |
| singular value gap | 1.09622 |
| singular values (MAT file): | click here |
| SVD method used: | s = svd (full (A)) ; |
| status: | ok |

For a description of the statistics displayed above, click here.
Maintained by Tim Davis, last updated 12-Mar-2014.
Matrix pictures by cspy, a MATLAB function in the CSparse package.
Matrix graphs by Yifan Hu, AT&T Labs Visualization Group.