Matrix: GHS_psdef/pwt
Description: PWT: Nasa matrix, but with a diagonal added to the original matrix
![]() |
| (undirected graph drawing) |
![]() |
![]() |
| Matrix properties | |
| number of rows | 36,519 |
| number of columns | 36,519 |
| nonzeros | 326,107 |
| structural full rank? | yes |
| structural rank | 36,519 |
| # of blocks from dmperm | 57 |
| # strongly connected comp. | 57 |
| explicit zero entries | 0 |
| nonzero pattern symmetry | symmetric |
| numeric value symmetry | symmetric |
| type | binary |
| structure | symmetric |
| Cholesky candidate? | yes |
| positive definite? | no |
| author | NASA |
| editor | G. Kumfert, A. Pothen |
| date | 1995 |
| kind | duplicate structural problem |
| 2D/3D problem? | yes |
Notes:
Nasa/pwt, GHS_psdef/pwt and Pothen/pwt are identical; Pothen/ has xyz coord.
| Ordering statistics: | result |
| nnz(chol(P*(A+A'+s*I)*P')) with AMD | 1,555,833 |
| Cholesky flop count | 1.6e+08 |
| nnz(L+U), no partial pivoting, with AMD | 3,075,147 |
| nnz(V) for QR, upper bound nnz(L) for LU, with COLAMD | 2,667,503 |
| nnz(R) for QR, upper bound nnz(U) for LU, with COLAMD | 5,000,519 |
| SVD-based statistics: | |
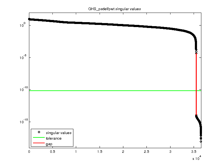
| norm(A) | 9.90527 |
| min(svd(A)) | 8.72467e-19 |
| cond(A) | 1.13532e+19 |
| rank(A) | 35,475 |
| sprank(A)-rank(A) | 1,044 |
| null space dimension | 1,044 |
| full numerical rank? | no |
| singular value gap | 4.30451e+09 |
| singular values (MAT file): | click here |
| SVD method used: | s = svd (full (A)) |
| status: | ok |

For a description of the statistics displayed above, click here.
Maintained by Tim Davis, last updated 12-Mar-2014.
Matrix pictures by cspy, a MATLAB function in the CSparse package.
Matrix graphs by Yifan Hu, AT&T Labs Visualization Group.