Matrix: Bai/cryg2500
Description: CRYSTAL GROWTH EIGENMODES C. YANG
![]() |
![]() |
| (bipartite graph drawing) | (graph drawing of A+A') |
![]() |
| Matrix properties | |
| number of rows | 2,500 |
| number of columns | 2,500 |
| nonzeros | 12,349 |
| structural full rank? | yes |
| structural rank | 2,500 |
| # of blocks from dmperm | 1 |
| # strongly connected comp. | 1 |
| explicit zero entries | 0 |
| nonzero pattern symmetry | 99% |
| numeric value symmetry | 0% |
| type | real |
| structure | unsymmetric |
| Cholesky candidate? | no |
| positive definite? | no |
| author | C. Yang |
| editor | Z. Bai, D. Day, J. Demmel, J. Dongarra |
| date | 1996 |
| kind | materials problem |
| 2D/3D problem? | yes |
| Ordering statistics: | result |
| nnz(chol(P*(A+A'+s*I)*P')) with AMD | 35,865 |
| Cholesky flop count | 1.0e+06 |
| nnz(L+U), no partial pivoting, with AMD | 69,230 |
| nnz(V) for QR, upper bound nnz(L) for LU, with COLAMD | 61,659 |
| nnz(R) for QR, upper bound nnz(U) for LU, with COLAMD | 112,569 |
| SVD-based statistics: | |
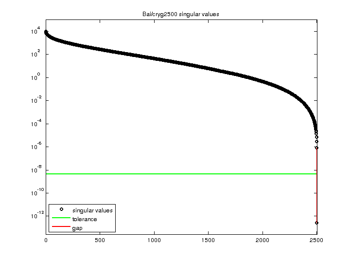
| norm(A) | 9831.06 |
| min(svd(A)) | 2.70724e-13 |
| cond(A) | 3.63139e+16 |
| rank(A) | 2,499 |
| sprank(A)-rank(A) | 1 |
| null space dimension | 1 |
| full numerical rank? | no |
| singular value gap | 2.93106e+06 |
| singular values (MAT file): | click here |
| SVD method used: | s = svd (full (A)) ; |
| status: | ok |

For a description of the statistics displayed above, click here.
Maintained by Tim Davis, last updated 12-Mar-2014.
Matrix pictures by cspy, a MATLAB function in the CSparse package.
Matrix graphs by Yifan Hu, AT&T Labs Visualization Group.