Matrix: Bai/ck104
Description: CHUCK MATRIX (MULTIPLE EIGENVALUES) J. CULLUM
![]() |
| (undirected graph drawing) |
![]() |
![]() |
| Matrix properties | |
| number of rows | 104 |
| number of columns | 104 |
| nonzeros | 992 |
| structural full rank? | yes |
| structural rank | 104 |
| # of blocks from dmperm | 2 |
| # strongly connected comp. | 2 |
| explicit zero entries | 0 |
| nonzero pattern symmetry | symmetric |
| numeric value symmetry | 0% |
| type | real |
| structure | unsymmetric |
| Cholesky candidate? | no |
| positive definite? | no |
| author | J. Cullum |
| editor | Z. Bai, D. Day, J. Demmel, J. Dongarra |
| date | 1986 |
| kind | 2D/3D problem |
| 2D/3D problem? | yes |
| Ordering statistics: | result |
| nnz(chol(P*(A+A'+s*I)*P')) with AMD | 548 |
| Cholesky flop count | 3.0e+03 |
| nnz(L+U), no partial pivoting, with AMD | 992 |
| nnz(V) for QR, upper bound nnz(L) for LU, with COLAMD | 572 |
| nnz(R) for QR, upper bound nnz(U) for LU, with COLAMD | 912 |
| SVD-based statistics: | |
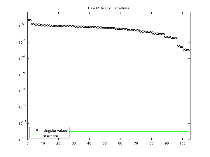
| norm(A) | 5.73204 |
| min(svd(A)) | 0.00104882 |
| cond(A) | 5465.24 |
| rank(A) | 104 |
| sprank(A)-rank(A) | 0 |
| null space dimension | 0 |
| full numerical rank? | yes |
| singular values (MAT file): | click here |
| SVD method used: | s = svd (full (A)) ; |
| status: | ok |

For a description of the statistics displayed above, click here.
Maintained by Tim Davis, last updated 12-Mar-2014.
Matrix pictures by cspy, a MATLAB function in the CSparse package.
Matrix graphs by Yifan Hu, AT&T Labs Visualization Group.