Matrix: HB/will57
Description: UNSYMMETRIC PATTERN OF ORDER 57 GIVEN BY WILLOUGHBY IN REID, 1970
![]() |
![]() |
| (bipartite graph drawing) | (graph drawing of A+A') |
![]() |
| Matrix properties | |
| number of rows | 57 |
| number of columns | 57 |
| nonzeros | 281 |
| structural full rank? | yes |
| structural rank | 57 |
| # of blocks from dmperm | 1 |
| # strongly connected comp. | 1 |
| explicit zero entries | 0 |
| nonzero pattern symmetry | 87% |
| numeric value symmetry | 87% |
| type | binary |
| structure | unsymmetric |
| Cholesky candidate? | no |
| positive definite? | no |
| author | R. Willoughby |
| editor | I. Duff, R. Grimes, J. Lewis |
| date | 1970 |
| kind | semiconductor device problem |
| 2D/3D problem? | yes |
| Ordering statistics: | result |
| nnz(chol(P*(A+A'+s*I)*P')) with AMD | 191 |
| Cholesky flop count | 6.8e+02 |
| nnz(L+U), no partial pivoting, with AMD | 325 |
| nnz(V) for QR, upper bound nnz(L) for LU, with COLAMD | 235 |
| nnz(R) for QR, upper bound nnz(U) for LU, with COLAMD | 450 |
| SVD-based statistics: | |
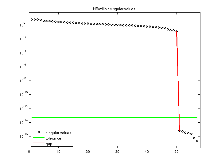
| norm(A) | 6.14869 |
| min(svd(A)) | 2.24858e-17 |
| cond(A) | 2.73448e+17 |
| rank(A) | 50 |
| sprank(A)-rank(A) | 7 |
| null space dimension | 7 |
| full numerical rank? | no |
| singular value gap | 1.95656e+14 |
| singular values (MAT file): | click here |
| SVD method used: | s = svd (full (A)) ; |
| status: | ok |

For a description of the statistics displayed above, click here.
Maintained by Tim Davis, last updated 12-Mar-2014.
Matrix pictures by cspy, a MATLAB function in the CSparse package.
Matrix graphs by Yifan Hu, AT&T Labs Visualization Group.