Matrix: HB/nos4
Description: SYMMETRIC MATRIX OF BEAM STRUCTURE, NOVEMBER 1982.
![]() |
| (undirected graph drawing) |
![]() |
| Matrix properties | |
| number of rows | 100 |
| number of columns | 100 |
| nonzeros | 594 |
| structural full rank? | yes |
| structural rank | 100 |
| # of blocks from dmperm | 1 |
| # strongly connected comp. | 1 |
| explicit zero entries | 0 |
| nonzero pattern symmetry | symmetric |
| numeric value symmetry | symmetric |
| type | real |
| structure | symmetric |
| Cholesky candidate? | yes |
| positive definite? | yes |
| author | H. Simon |
| editor | I. Duff, R. Grimes, J. Lewis |
| date | 1982 |
| kind | structural problem |
| 2D/3D problem? | yes |
| Ordering statistics: | result |
| nnz(chol(P*(A+A'+s*I)*P')) with AMD | 632 |
| Cholesky flop count | 4.4e+03 |
| nnz(L+U), no partial pivoting, with AMD | 1,164 |
| nnz(V) for QR, upper bound nnz(L) for LU, with COLAMD | 767 |
| nnz(R) for QR, upper bound nnz(U) for LU, with COLAMD | 1,414 |
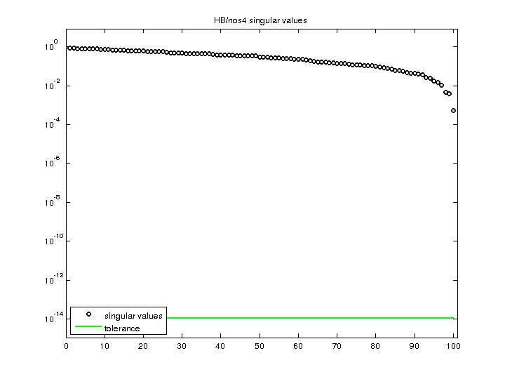
| SVD-based statistics: | |
| norm(A) | 0.849138 |
| min(svd(A)) | 0.000537953 |
| cond(A) | 1578.46 |
| rank(A) | 100 |
| sprank(A)-rank(A) | 0 |
| null space dimension | 0 |
| full numerical rank? | yes |
| singular values (MAT file): | click here |
| SVD method used: | s = svd (full (A)) ; |
| status: | ok |

For a description of the statistics displayed above, click here.
Maintained by Tim Davis, last updated 12-Mar-2014.
Matrix pictures by cspy, a MATLAB function in the CSparse package.
Matrix graphs by Yifan Hu, AT&T Labs Visualization Group.