Matrix: HB/ibm32
Description: UNSYMMETRIC PATTERN ON LEAFLET ADVERTISING IBM 1971 CONFERENCE
![]() |
![]() |
| (bipartite graph drawing) | (graph drawing of A+A') |
![]() |
| Matrix properties | |
| number of rows | 32 |
| number of columns | 32 |
| nonzeros | 126 |
| # strongly connected comp. | 1 |
| explicit zero entries | 0 |
| nonzero pattern symmetry | 9% |
| numeric value symmetry | 9% |
| type | binary |
| structure | unsymmetric |
| Cholesky candidate? | no |
| positive definite? | no |
| author | IBM |
| editor | A. Curtis, I. Duff, J. Reid |
| date | 1971 |
| kind | directed graph |
| 2D/3D problem? | no |
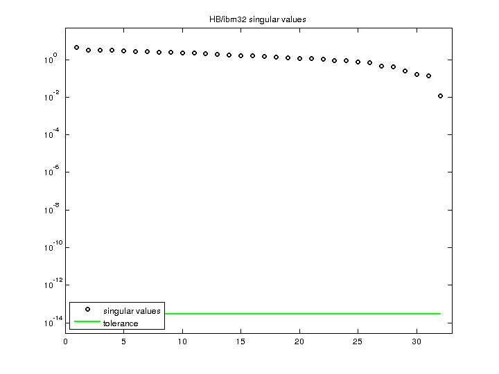
| SVD-based statistics: | |
| norm(A) | 4.59361 |
| min(svd(A)) | 0.0113671 |
| cond(A) | 404.115 |
| rank(A) | 32 |
| null space dimension | 0 |
| full numerical rank? | yes |
| singular values (MAT file): | click here |
| SVD method used: | s = svd (full (A)) |
| status: | ok |

For a description of the statistics displayed above, click here.
Maintained by Tim Davis, last updated 12-Mar-2014.
Matrix pictures by cspy, a MATLAB function in the CSparse package.
Matrix graphs by Yifan Hu, AT&T Labs Visualization Group.