Matrix: HB/fs_760_2
Description: UNSYMMETRIC FACSIMILE CONVERGENCE MATRIX
![]() |
![]() |
| (bipartite graph drawing) | (graph drawing of A+A') |
![]() |
![]() |
| Matrix properties | |
| number of rows | 760 |
| number of columns | 760 |
| nonzeros | 5,739 |
| structural full rank? | yes |
| structural rank | 760 |
| # of blocks from dmperm | 17 |
| # strongly connected comp. | 17 |
| explicit zero entries | 237 |
| nonzero pattern symmetry | 65% |
| numeric value symmetry | 0% |
| type | real |
| structure | unsymmetric |
| Cholesky candidate? | no |
| positive definite? | no |
| author | A. Curtis |
| editor | I. Duff, R. Grimes, J. Lewis |
| date | 1983 |
| kind | subsequent 2D/3D problem |
| 2D/3D problem? | yes |
Notes:
next: HB/fs_760_3 first: HB/fs_760_1
| Ordering statistics: | result |
| nnz(chol(P*(A+A'+s*I)*P')) with AMD | 14,263 |
| Cholesky flop count | 3.8e+05 |
| nnz(L+U), no partial pivoting, with AMD | 27,766 |
| nnz(V) for QR, upper bound nnz(L) for LU, with COLAMD | 19,199 |
| nnz(R) for QR, upper bound nnz(U) for LU, with COLAMD | 35,804 |
Note that all matrix statistics (except nonzero pattern symmetry) exclude the 237 explicit zero entries.
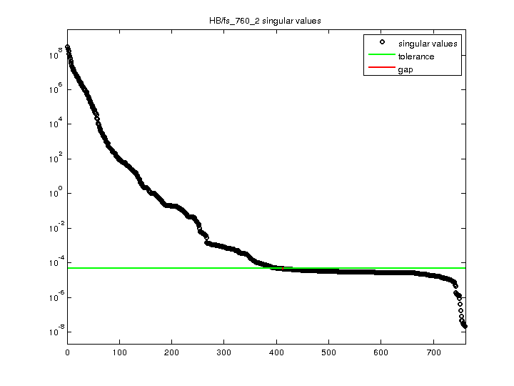
| SVD-based statistics: | |
| norm(A) | 3.09787e+08 |
| min(svd(A)) | 2.06627e-08 |
| cond(A) | 1.49926e+16 |
| rank(A) | 411 |
| sprank(A)-rank(A) | 349 |
| null space dimension | 349 |
| full numerical rank? | no |
| singular value gap | 1.00851 |
| singular values (MAT file): | click here |
| SVD method used: | s = svd (full (A)) ; |
| status: | ok |

For a description of the statistics displayed above, click here.
Maintained by Tim Davis, last updated 12-Mar-2014.
Matrix pictures by cspy, a MATLAB function in the CSparse package.
Matrix graphs by Yifan Hu, AT&T Labs Visualization Group.