Matrix: HB/fs_183_4
Description: UNSYMMETRIC FACSIMILE CONVERGENCE MATRIX
![]() |
![]() |
| (bipartite graph drawing) | (graph drawing of A+A') |
![]() |
![]() |
| Matrix properties | |
| number of rows | 183 |
| number of columns | 183 |
| nonzeros | 1,069 |
| structural full rank? | yes |
| structural rank | 183 |
| # of blocks from dmperm | 30 |
| # strongly connected comp. | 30 |
| explicit zero entries | 0 |
| nonzero pattern symmetry | 42% |
| numeric value symmetry | 0% |
| type | real |
| structure | unsymmetric |
| Cholesky candidate? | no |
| positive definite? | no |
| author | A. Curtis |
| editor | I. Duff, R. Grimes, J. Lewis |
| date | 1983 |
| kind | subsequent 2D/3D problem |
| 2D/3D problem? | yes |
Notes:
next: HB/fs_183_6 first: HB/fs_183_1
| Ordering statistics: | result |
| nnz(chol(P*(A+A'+s*I)*P')) with AMD | 1,255 |
| Cholesky flop count | 1.2e+04 |
| nnz(L+U), no partial pivoting, with AMD | 2,327 |
| nnz(V) for QR, upper bound nnz(L) for LU, with COLAMD | 4,308 |
| nnz(R) for QR, upper bound nnz(U) for LU, with COLAMD | 7,836 |
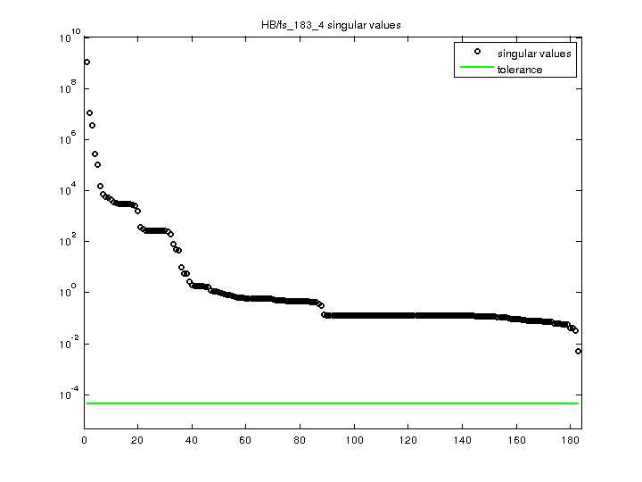
| SVD-based statistics: | |
| norm(A) | 1.12289e+09 |
| min(svd(A)) | 0.00516051 |
| cond(A) | 2.17593e+11 |
| rank(A) | 183 |
| sprank(A)-rank(A) | 0 |
| null space dimension | 0 |
| full numerical rank? | yes |
| singular values (MAT file): | click here |
| SVD method used: | s = svd (full (A)) ; |
| status: | ok |

For a description of the statistics displayed above, click here.
Maintained by Tim Davis, last updated 12-Mar-2014.
Matrix pictures by cspy, a MATLAB function in the CSparse package.
Matrix graphs by Yifan Hu, AT&T Labs Visualization Group.