Matrix: HB/ash292
Description: SYMMETRIC PATTERN OF NORMAL MATRIX OF U.K. SURVEY. ASHKENAZI, 1974
![]() |
| (undirected graph drawing) |
![]() |
| Matrix properties | |
| number of rows | 292 |
| number of columns | 292 |
| nonzeros | 2,208 |
| structural full rank? | yes |
| structural rank | 292 |
| # of blocks from dmperm | 1 |
| # strongly connected comp. | 1 |
| explicit zero entries | 0 |
| nonzero pattern symmetry | symmetric |
| numeric value symmetry | symmetric |
| type | binary |
| structure | symmetric |
| Cholesky candidate? | yes |
| positive definite? | no |
| author | V. Askenazi |
| editor | A. Curtis, I. Duff, J. Reid |
| date | 1974 |
| kind | least squares problem |
| 2D/3D problem? | no |
| Ordering statistics: | result |
| nnz(chol(P*(A+A'+s*I)*P')) with AMD | 2,496 |
| Cholesky flop count | 2.5e+04 |
| nnz(L+U), no partial pivoting, with AMD | 4,700 |
| nnz(V) for QR, upper bound nnz(L) for LU, with COLAMD | 3,251 |
| nnz(R) for QR, upper bound nnz(U) for LU, with COLAMD | 6,186 |
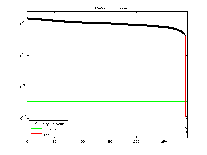
| SVD-based statistics: | |
| norm(A) | 9.15222 |
| min(svd(A)) | 7.7173e-18 |
| cond(A) | 1.18594e+18 |
| rank(A) | 289 |
| sprank(A)-rank(A) | 3 |
| null space dimension | 3 |
| full numerical rank? | no |
| singular value gap | 5.98684e+12 |
| singular values (MAT file): | click here |
| SVD method used: | s = svd (full (A)) ; |
| status: | ok |

For a description of the statistics displayed above, click here.
Maintained by Tim Davis, last updated 12-Mar-2014.
Matrix pictures by cspy, a MATLAB function in the CSparse package.
Matrix graphs by Yifan Hu, AT&T Labs Visualization Group.