Statistics Calculator

Kevin Cen


Please input your values in the textbox below:

Enter numbers separated by spaces:




Your inputted values are:


Your statistics summary is shown below:

Scroll down to view the equations used and test cases.

Number of Values Sum Mean Median Mode
Max Min Range Variance (Sample) Standard Deviation

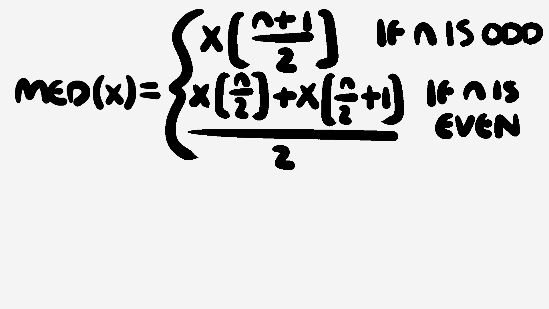
Equations Used:

Equations were used for: Sum, Mean, Median, Variance, Standard Deviation