Matrix: TSOPF/TSOPF_RS_b678_c2
Description: transient optimal power flow, Reduced-Space. Guangchao Geng, Zhejiang Univ
![]() |
![]() |
| (bipartite graph drawing) | (graph drawing of A+A') |
![]() |
![]() |
![]() |
| Matrix properties | |
| number of rows | 35,696 |
| number of columns | 35,696 |
| nonzeros | 8,781,949 |
| structural full rank? | yes |
| structural rank | 35,696 |
| # of blocks from dmperm | 271 |
| # strongly connected comp. | 271 |
| explicit zero entries | 0 |
| nonzero pattern symmetry | 0% |
| numeric value symmetry | 0% |
| type | real |
| structure | unsymmetric |
| Cholesky candidate? | no |
| positive definite? | no |
| author | G. Geng |
| editor | T. Davis |
| date | 2009 |
| kind | power network problem |
| 2D/3D problem? | no |
| Additional fields | size and type |
| b | sparse 35696-by-339 |
Notes:
Transient stability-constrained optimal power flow (TSOPF) problems from Guangchao Geng, Institute of Power System, College of Electrical Engineering, Zhejiang University, Hangzhou, 310027, China. (genggc AT gmail DOT com). Matrices in the Full-Space (FS) group are symmetric indefinite, and are best solved with MA57. Matrices in the the Reduced-Space (RS) group are best solved with KLU, which for these matrices can be 10 times faster than UMFPACK or SuperLU.
| Ordering statistics: | result |
| nnz(chol(P*(A+A'+s*I)*P')) with AMD | 21,073,601 |
| Cholesky flop count | 1.4e+10 |
| nnz(L+U), no partial pivoting, with AMD | 42,111,506 |
| nnz(V) for QR, upper bound nnz(L) for LU, with COLAMD | 2,783,855 |
| nnz(R) for QR, upper bound nnz(U) for LU, with COLAMD | 22,006,731 |
| SVD-based statistics: | |
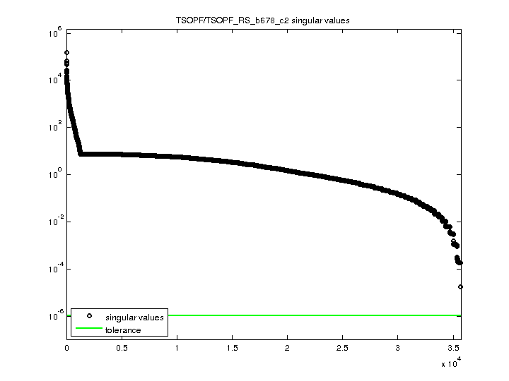
| norm(A) | 151252 |
| min(svd(A)) | 1.78616e-05 |
| cond(A) | 8.46798e+09 |
| rank(A) | 35,696 |
| sprank(A)-rank(A) | 0 |
| null space dimension | 0 |
| full numerical rank? | yes |
| singular values (MAT file): | click here |
| SVD method used: | s = svd (full (A)) |
| status: | ok |

For a description of the statistics displayed above, click here.
Maintained by Tim Davis, last updated 12-Mar-2014.
Matrix pictures by cspy, a MATLAB function in the CSparse package.
Matrix graphs by Yifan Hu, AT&T Labs Visualization Group.