Matrix: Puri/ABACUS_shell_hd
Description: ABAQUS benchmark: pt.loaded fluid-filled spherical shell
![]() |
| (undirected graph drawing) |
![]() |
| Matrix properties | |
| number of rows | 23,412 |
| number of columns | 23,412 |
| nonzeros | 218,484 |
| structural full rank? | yes |
| structural rank | 23,412 |
| # of blocks from dmperm | 1 |
| # strongly connected comp. | 1 |
| explicit zero entries | 0 |
| nonzero pattern symmetry | symmetric |
| numeric value symmetry | 89% |
| type | complex |
| structure | unsymmetric |
| Cholesky candidate? | no |
| positive definite? | no |
| author | S. Puri |
| editor | T. Davis |
| date | 2009 |
| kind | model reduction problem |
| 2D/3D problem? | yes |
| Additional fields | size and type |
| b | sparse 23412-by-1 |
| c | sparse 1-by-23412 |
| K | sparse 23412-by-23412 |
| M | sparse 23412-by-23412 |
| E | sparse 23412-by-23412 |
| TSSOAR | full 901-by-1 |
| Mzeros | sparse 23412-by-23412 |
| Ordering statistics: | result |
| nnz(chol(P*(A+A'+s*I)*P')) with AMD | 988,060 |
| Cholesky flop count | 1.1e+08 |
| nnz(L+U), no partial pivoting, with AMD | 1,952,708 |
| nnz(V) for QR, upper bound nnz(L) for LU, with COLAMD | 1,643,800 |
| nnz(R) for QR, upper bound nnz(U) for LU, with COLAMD | 3,073,542 |
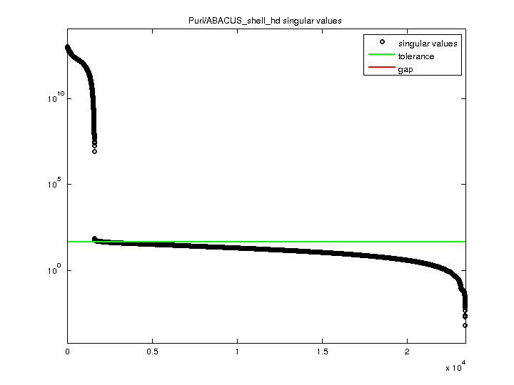
| SVD-based statistics: | |
| norm(A) | 1.12839e+13 |
| min(svd(A)) | 0.000575024 |
| cond(A) | 1.96234e+16 |
| rank(A) | 2,048 |
| sprank(A)-rank(A) | 21,364 |
| null space dimension | 21,364 |
| full numerical rank? | no |
| singular value gap | 1.00025 |
| singular values (MAT file): | click here |
| SVD method used: | s = svd (full (A)) |
| status: | ok |

For a description of the statistics displayed above, click here.
Maintained by Tim Davis, last updated 12-Mar-2014.
Matrix pictures by cspy, a MATLAB function in the CSparse package.
Matrix graphs by Yifan Hu, AT&T Labs Visualization Group.