Matrix: Newman/polbooks
Description: Books about US politics, compiled by V. Krebs
![]() |
| (undirected graph drawing) |
![]() |
| Matrix properties | |
| number of rows | 105 |
| number of columns | 105 |
| nonzeros | 882 |
| # strongly connected comp. | 1 |
| explicit zero entries | 0 |
| nonzero pattern symmetry | symmetric |
| numeric value symmetry | symmetric |
| type | binary |
| structure | symmetric |
| Cholesky candidate? | no |
| positive definite? | no |
| author | V. Krebs |
| editor | M. Newman |
| date | 2001 |
| kind | undirected graph |
| 2D/3D problem? | no |
| Additional fields | size and type |
| nodename | full 105-by-48 |
| nodevalue | full 105-by-1 |
Notes:
Network collection from M. Newman
http://www-personal.umich.edu/~mejn/netdata/
Books about US politics
Compiled by Valdis Krebs
Nodes represent books about US politics sold by the online bookseller
Amazon.com. Edges represent frequent co-purchasing of books by the same
buyers, as indicated by the "customers who bought this book also bought
these other books" feature on Amazon.
Nodes have been given values "l", "n", or "c" to indicate whether they are
"liberal", "neutral", or "conservative". These alignments were assigned
separately by Mark Newman based on a reading of the descriptions and
reviews of the books posted on Amazon.
These data should be cited as V. Krebs, unpublished,
http://www.orgnet.com/.
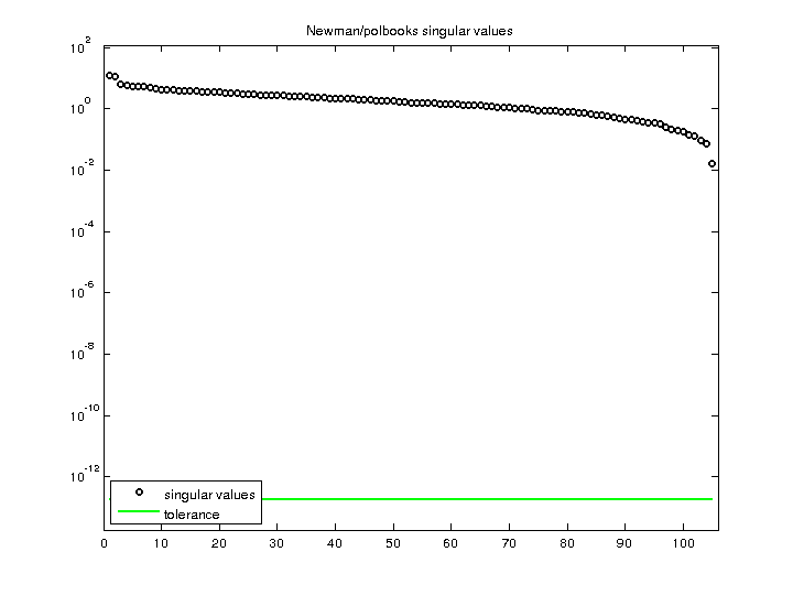
| SVD-based statistics: | |
| norm(A) | 11.9326 |
| min(svd(A)) | 0.0165676 |
| cond(A) | 720.24 |
| rank(A) | 105 |
| null space dimension | 0 |
| full numerical rank? | yes |
| singular values (MAT file): | click here |
| SVD method used: | s = svd (full (A)) ; |
| status: | ok |

For a description of the statistics displayed above, click here.
Maintained by Tim Davis, last updated 12-Mar-2014.
Matrix pictures by cspy, a MATLAB function in the CSparse package.
Matrix graphs by Yifan Hu, AT&T Labs Visualization Group.