Matrix: Newman/as-22july06
Description: (symmetrized) structure of internet routers as of July 22, 2006
![]() |
| (undirected graph drawing) |
![]() |
| Matrix properties | |
| number of rows | 22,963 |
| number of columns | 22,963 |
| nonzeros | 96,872 |
| # strongly connected comp. | 1 |
| explicit zero entries | 0 |
| nonzero pattern symmetry | symmetric |
| numeric value symmetry | symmetric |
| type | binary |
| structure | symmetric |
| Cholesky candidate? | no |
| positive definite? | no |
| author | M. Newman |
| editor | M. Newman |
| date | 2006 |
| kind | undirected graph |
| 2D/3D problem? | no |
| Additional fields | size and type |
| nodename | full 22963-by-5 |
Notes:
Network collection from M. Newman
http://www-personal.umich.edu/~mejn/netdata/
The graph as-22july06 contains a symmetrized snapshot of the structure
of the Internet at the level of autonomous systems, reconstructed from BGP
tables posted at archive.routeviews.org. This snapshot was created by Mark
Newman from data for July 22, 2006 and is not previously published.
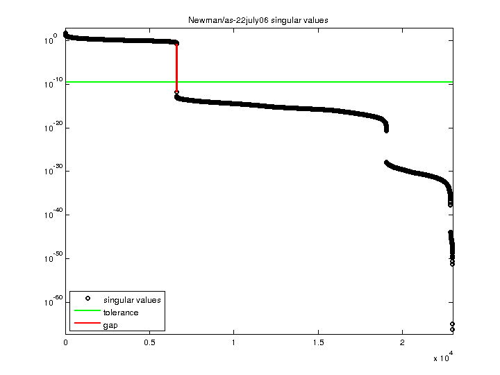
| SVD-based statistics: | |
| norm(A) | 71.613 |
| min(svd(A)) | 4.67398e-67 |
| cond(A) | 1.53216e+68 |
| rank(A) | 6,598 |
| null space dimension | 16,365 |
| full numerical rank? | no |
| singular value gap | 9.5382e+10 |
| singular values (MAT file): | click here |
| SVD method used: | s = svd (full (A)) |
| status: | ok |

For a description of the statistics displayed above, click here.
Maintained by Tim Davis, last updated 12-Mar-2014.
Matrix pictures by cspy, a MATLAB function in the CSparse package.
Matrix graphs by Yifan Hu, AT&T Labs Visualization Group.