Matrix: JGD_Relat/rel5
Description: Relations from Florent Hiver, Univ. Paris-Est Marne-La-Valle'e
![]() |
| (bipartite graph drawing) |
![]() |
![]() |
![]() |
| Matrix properties | |
| number of rows | 340 |
| number of columns | 35 |
| nonzeros | 656 |
| structural full rank? | no |
| structural rank | 33 |
| # of blocks from dmperm | 2 |
| # strongly connected comp. | 171 |
| explicit zero entries | 0 |
| nonzero pattern symmetry | 0% |
| numeric value symmetry | 0% |
| type | integer |
| structure | rectangular |
| Cholesky candidate? | no |
| positive definite? | no |
| author | F. Hiver |
| editor | J.-G. Dumas |
| date | 2008 |
| kind | combinatorial problem |
| 2D/3D problem? | no |
Notes:
Relations from Florent Hiver, Univ. Paris-Est Marne-La-Valle'e
From Jean-Guillaume Dumas' Sparse Integer Matrix Collection,
http://ljk.imag.fr/membres/Jean-Guillaume.Dumas/simc.html
http://www-igm.univ-mlv.fr/~hivert/
Filename in JGD collection: Relat/rel5.mat
| Ordering statistics: | result |
| nnz(V) for QR, upper bound nnz(L) for LU, with COLAMD | 2,522 |
| nnz(R) for QR, upper bound nnz(U) for LU, with COLAMD | 311 |
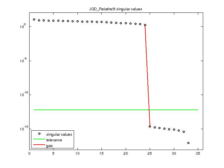
| SVD-based statistics: | |
| norm(A) | 10.3403 |
| min(svd(A)) | 0 |
| cond(A) | Inf |
| rank(A) | 24 |
| sprank(A)-rank(A) | 9 |
| null space dimension | 11 |
| full numerical rank? | no |
| singular value gap | 6.83154e+14 |
| singular values (MAT file): | click here |
| SVD method used: | s = svd (full (R)) ; where [~,R,E] = spqr (A) with droptol of zero |
| status: | ok |

For a description of the statistics displayed above, click here.
Maintained by Tim Davis, last updated 12-Mar-2014.
Matrix pictures by cspy, a MATLAB function in the CSparse package.
Matrix graphs by Yifan Hu, AT&T Labs Visualization Group.