Matrix: JGD_G5/IG5-8
Description: Decomposable subspaces at degree d of the invariant ring of G5, Nicolas Thiery.
![]() |
| (bipartite graph drawing) |
![]() |
![]() |
| Matrix properties | |
| number of rows | 156 |
| number of columns | 292 |
| nonzeros | 1,711 |
| structural full rank? | yes |
| structural rank | 156 |
| # of blocks from dmperm | 1 |
| # strongly connected comp. | 135 |
| explicit zero entries | 0 |
| nonzero pattern symmetry | 0% |
| numeric value symmetry | 0% |
| type | integer |
| structure | rectangular |
| Cholesky candidate? | no |
| positive definite? | no |
| author | N. Thiery |
| editor | J.-G. Dumas |
| date | 2008 |
| kind | combinatorial problem |
| 2D/3D problem? | no |
Notes:
Decomposable subspaces at degree d of the invariant ring of G5, Nicolas Thiery.
Univ. Paris Sud.
From Jean-Guillaume Dumas' Sparse Integer Matrix Collection,
http://ljk.imag.fr/membres/Jean-Guillaume.Dumas/simc.html
http://www.lapcs.univ-lyon1.fr/~nthiery/LinearAlgebra/
Linear Algebra for combinatorics
Abstract: Computations in algebraic combinatorics often boils down to
sparse linear algebra over some exact field. Such computations are
usually done in high level computer algebra systems like MuPAD or
Maple, which are reasonnably efficient when the ground field requires
symbolic computations. However, when the ground field is, say Q or
Z/pZ, the use of external specialized libraries becomes necessary. This
document, geared toward developpers of such libraries, present a brief
overview of my needs, which seems to be fairly typical in the
community.
IG5-6: 30 x 77 : rang = 30 (Iteratif: 0.01 s, Gauss: 0.01 s)
IG5-7: 62 x 150 : rang = 62 (Iteratif: 0.02 s, Gauss: 0.01 s)
IG5-8: 156 x 292 : rang = 154 (Iteratif: 0.08 s, Gauss: 0.01 s)
IG5-9: 342 x 540 : rang = 308 (Iteratif: 0.46 s, Gauss: 0.02 s)
IG5-10: 652 x 976 : rang = 527 (Iteratif: 2.1 s, Gauss: 0.07 s)
IG5-11: 1227 x 1692 : rang = 902 (Iteratif: 7.5 s, Gauss: 0.22 s)
IG5-12: 2296 x 2875 : rang = 1578 (Iteratif: 26 s, Gauss: 0.93 s)
IG5-13: 3994 x 4731 : rang = 2532 (Iteratif: 80 s, Gauss: 3.35 s)
IG5-14: 6727 x 7621 : rang = 3906 (Iteratif: 244 s, Gauss: 10.06 s)
IG5-15: 11358 x 11987 : rang = 6146 (Iteratif: s, Gauss: 29.74 s)
IG5-16: 18485 x 18829 : rang = 9519 (Iteratif: s, Gauss: 621.97 s)
IG5-17: 27944 x 30131 : rang = 14060 (Iteratif: s, Gauss: 1973.8 s)
Filename in JGD collection: G5/IG5-8.txt2
| Ordering statistics: | result |
| nnz(V) for QR, upper bound nnz(L) for LU, with COLAMD | 6,634 |
| nnz(R) for QR, upper bound nnz(U) for LU, with COLAMD | 9,529 |
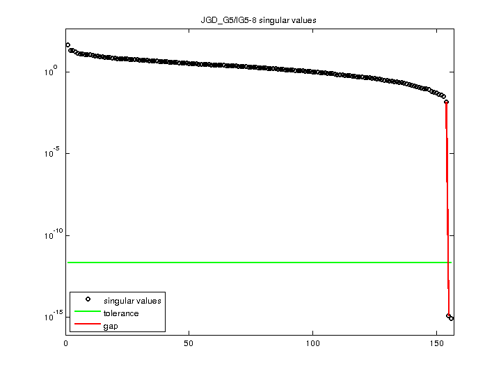
| SVD-based statistics: | |
| norm(A) | 44.4782 |
| min(svd(A)) | 8.52898e-16 |
| cond(A) | 5.21495e+16 |
| rank(A) | 154 |
| sprank(A)-rank(A) | 2 |
| null space dimension | 2 |
| full numerical rank? | no |
| singular value gap | 1.12587e+13 |
| singular values (MAT file): | click here |
| SVD method used: | s = svd (full (A)) ; |
| status: | ok |

For a description of the statistics displayed above, click here.
Maintained by Tim Davis, last updated 12-Mar-2014.
Matrix pictures by cspy, a MATLAB function in the CSparse package.
Matrix graphs by Yifan Hu, AT&T Labs Visualization Group.