Matrix: GHS_psdef/obstclae
Description: Gould, Hu, & Scott: quadratic obstacle problem (CUTEr)
![]() |
| (undirected graph drawing) |
![]() |
![]() |
| Matrix properties | |
| number of rows | 40,000 |
| number of columns | 40,000 |
| nonzeros | 197,608 |
| structural full rank? | yes |
| structural rank | 40,000 |
| # of blocks from dmperm | 5 |
| # strongly connected comp. | 5 |
| explicit zero entries | 0 |
| nonzero pattern symmetry | symmetric |
| numeric value symmetry | symmetric |
| type | real |
| structure | symmetric |
| Cholesky candidate? | yes |
| positive definite? | yes |
| author | R. Dembo, U. Tulowitzki |
| editor | P. Toint |
| date | 1983 |
| kind | optimization problem |
| 2D/3D problem? | no |
| Ordering statistics: | result |
| nnz(chol(P*(A+A'+s*I)*P')) with AMD | 1,058,836 |
| Cholesky flop count | 1.2e+08 |
| nnz(L+U), no partial pivoting, with AMD | 2,077,672 |
| nnz(V) for QR, upper bound nnz(L) for LU, with COLAMD | 2,073,834 |
| nnz(R) for QR, upper bound nnz(U) for LU, with COLAMD | 3,783,582 |
| SVD-based statistics: | |
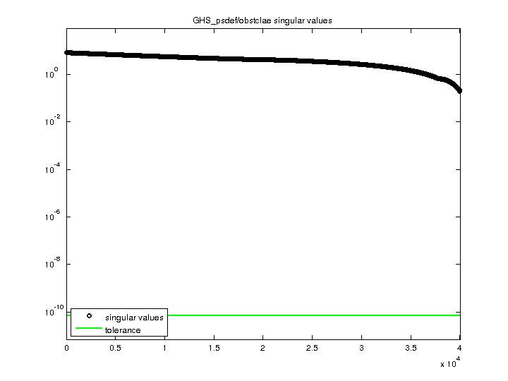
| norm(A) | 8.1995 |
| min(svd(A)) | 0.2 |
| cond(A) | 40.9975 |
| rank(A) | 40,000 |
| sprank(A)-rank(A) | 0 |
| null space dimension | 0 |
| full numerical rank? | yes |
| singular values (MAT file): | click here |
| SVD method used: | s = svd (full (A)) |
| status: | ok |

For a description of the statistics displayed above, click here.
Maintained by Tim Davis, last updated 12-Mar-2014.
Matrix pictures by cspy, a MATLAB function in the CSparse package.
Matrix graphs by Yifan Hu, AT&T Labs Visualization Group.