Matrix: DNVS/ship_001
Description: DNV-Ex 2 : Ship structure, predesign model-1999-01-17
![]() |
| (undirected graph drawing) |
![]() |
| Matrix properties | |
| number of rows | 34,920 |
| number of columns | 34,920 |
| nonzeros | 3,896,496 |
| structural full rank? | yes |
| structural rank | 34,920 |
| # of blocks from dmperm | 1 |
| # strongly connected comp. | 1 |
| explicit zero entries | 747,734 |
| nonzero pattern symmetry | symmetric |
| numeric value symmetry | symmetric |
| type | real |
| structure | symmetric |
| Cholesky candidate? | yes |
| positive definite? | yes |
| author | C. Damhaug |
| editor | J. Koster |
| date | 1999 |
| kind | structural problem |
| 2D/3D problem? | yes |
| Ordering statistics: | result |
| nnz(chol(P*(A+A'+s*I)*P')) with AMD | 16,410,406 |
| Cholesky flop count | 1.2e+10 |
| nnz(L+U), no partial pivoting, with AMD | 32,785,892 |
| nnz(V) for QR, upper bound nnz(L) for LU, with COLAMD | 20,435,201 |
| nnz(R) for QR, upper bound nnz(U) for LU, with COLAMD | 47,931,029 |
Note that all matrix statistics (except nonzero pattern symmetry) exclude the 747734 explicit zero entries.
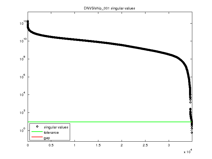
| SVD-based statistics: | |
| norm(A) | 1.7879e+12 |
| min(svd(A)) | 0.564658 |
| cond(A) | 3.16634e+12 |
| rank(A) | 34,888 |
| sprank(A)-rank(A) | 32 |
| null space dimension | 32 |
| full numerical rank? | no |
| singular value gap | 1.08248 |
| singular values (MAT file): | click here |
| SVD method used: | s = svd (full (A)) |
| status: | ok |

For a description of the statistics displayed above, click here.
Maintained by Tim Davis, last updated 12-Mar-2014.
Matrix pictures by cspy, a MATLAB function in the CSparse package.
Matrix graphs by Yifan Hu, AT&T Labs Visualization Group.