Matrix: Boeing/bcsstm36
Description: MASS MATRIX, AUTOMOBILE SHOCK ABSORBER ASSEMBLY
![]() |
| (undirected graph drawing) |
![]() |
![]() |
![]() |
| Matrix properties | |
| number of rows | 23,052 |
| number of columns | 23,052 |
| nonzeros | 320,606 |
| structural full rank? | no |
| structural rank | 12,172 |
| # of blocks from dmperm | 3 |
| # strongly connected comp. | 10,881 |
| explicit zero entries | 0 |
| nonzero pattern symmetry | symmetric |
| numeric value symmetry | symmetric |
| type | real |
| structure | symmetric |
| Cholesky candidate? | no |
| positive definite? | no |
| author | R. Grimes |
| editor | T. Davis |
| date | 1995 |
| kind | structural problem |
| 2D/3D problem? | yes |
| Ordering statistics: | result |
| nnz(chol(P*(A+A'+s*I)*P')) with AMD | 835,487 |
| Cholesky flop count | 1.1e+08 |
| nnz(L+U), no partial pivoting, with AMD | 1,647,922 |
| nnz(V) for QR, upper bound nnz(L) for LU, with COLAMD | 2,102,354 |
| nnz(R) for QR, upper bound nnz(U) for LU, with COLAMD | 4,004,046 |
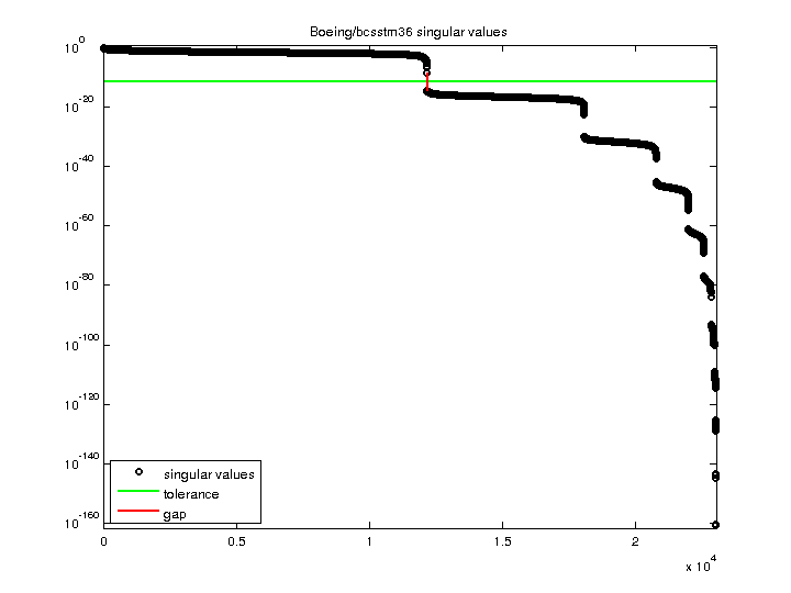
| SVD-based statistics: | |
| norm(A) | 0.605385 |
| min(svd(A)) | 0 |
| cond(A) | Inf |
| rank(A) | 12,172 |
| sprank(A)-rank(A) | 0 |
| null space dimension | 10,880 |
| full numerical rank? | no |
| singular value gap | 1.33903e+06 |
| singular values (MAT file): | click here |
| SVD method used: | s = svd (full (A)) |
| status: | ok |

For a description of the statistics displayed above, click here.
Maintained by Tim Davis, last updated 12-Mar-2014.
Matrix pictures by cspy, a MATLAB function in the CSparse package.
Matrix graphs by Yifan Hu, AT&T Labs Visualization Group.