Matrix: Boeing/bcsstk37
Description: STIFFNESS MATRIX, TRACK BALL
![]() |
| (undirected graph drawing) |
![]() |
| Matrix properties | |
| number of rows | 25,503 |
| number of columns | 25,503 |
| nonzeros | 1,140,977 |
| structural full rank? | yes |
| structural rank | 25,503 |
| # of blocks from dmperm | 1 |
| # strongly connected comp. | 1 |
| explicit zero entries | 0 |
| nonzero pattern symmetry | symmetric |
| numeric value symmetry | symmetric |
| type | real |
| structure | symmetric |
| Cholesky candidate? | yes |
| positive definite? | no |
| author | R. Grimes |
| editor | T. Davis |
| date | 1995 |
| kind | structural problem |
| 2D/3D problem? | yes |
| Ordering statistics: | result |
| nnz(chol(P*(A+A'+s*I)*P')) with AMD | 2,815,563 |
| Cholesky flop count | 5.5e+08 |
| nnz(L+U), no partial pivoting, with AMD | 5,605,623 |
| nnz(V) for QR, upper bound nnz(L) for LU, with COLAMD | 6,458,267 |
| nnz(R) for QR, upper bound nnz(U) for LU, with COLAMD | 13,377,102 |
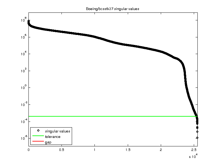
| SVD-based statistics: | |
| norm(A) | 8.41287e+07 |
| min(svd(A)) | 1.22426e-06 |
| cond(A) | 6.87178e+13 |
| rank(A) | 25,395 |
| sprank(A)-rank(A) | 108 |
| null space dimension | 108 |
| full numerical rank? | no |
| singular value gap | 1.01335 |
| singular values (MAT file): | click here |
| SVD method used: | s = svd (full (A)) |
| status: | ok |

For a description of the statistics displayed above, click here.
Maintained by Tim Davis, last updated 12-Mar-2014.
Matrix pictures by cspy, a MATLAB function in the CSparse package.
Matrix graphs by Yifan Hu, AT&T Labs Visualization Group.