Matrix: Bai/af23560
Description: NACA 0012 AIRFOIL M=0.8, EIGENVALUE CALCULATION
![]() |
![]() |
| (bipartite graph drawing) | (graph drawing of A+A') |
![]() |
| Matrix properties | |
| number of rows | 23,560 |
| number of columns | 23,560 |
| nonzeros | 460,598 |
| structural full rank? | yes |
| structural rank | 23,560 |
| # of blocks from dmperm | 1 |
| # strongly connected comp. | 1 |
| explicit zero entries | 23,658 |
| nonzero pattern symmetry | 100% |
| numeric value symmetry | 0% |
| type | real |
| structure | unsymmetric |
| Cholesky candidate? | no |
| positive definite? | no |
| author | A. Mahajan |
| editor | Z. Bai, D. Day, J. Demmel, J. Dongarra |
| date | 1991 |
| kind | computational fluid dynamics problem |
| 2D/3D problem? | yes |
| Ordering statistics: | result |
| nnz(chol(P*(A+A'+s*I)*P')) with AMD | 4,188,143 |
| Cholesky flop count | 1.3e+09 |
| nnz(L+U), no partial pivoting, with AMD | 8,352,726 |
| nnz(V) for QR, upper bound nnz(L) for LU, with COLAMD | 5,826,584 |
| nnz(R) for QR, upper bound nnz(U) for LU, with COLAMD | 10,916,614 |
Note that all matrix statistics (except nonzero pattern symmetry) exclude the 23658 explicit zero entries.
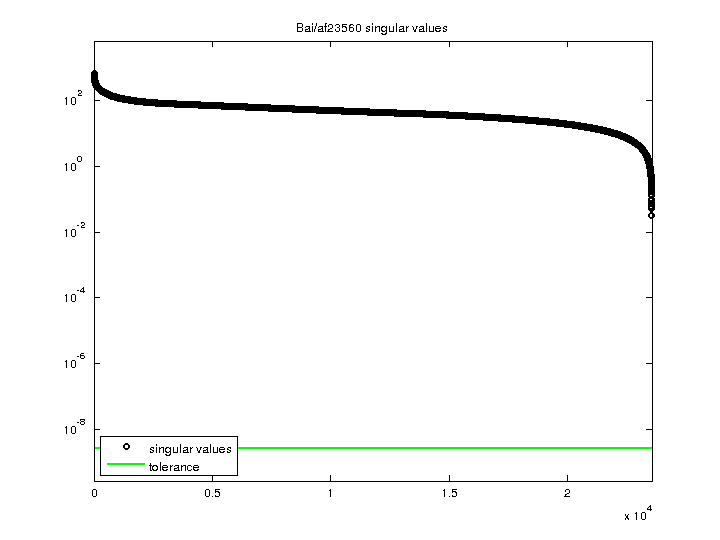
| SVD-based statistics: | |
| norm(A) | 645.74 |
| min(svd(A)) | 0.0324654 |
| cond(A) | 19890.1 |
| rank(A) | 23,560 |
| sprank(A)-rank(A) | 0 |
| null space dimension | 0 |
| full numerical rank? | yes |
| singular values (MAT file): | click here |
| SVD method used: | s = svd (full (A)) |
| status: | ok |

For a description of the statistics displayed above, click here.
Maintained by Tim Davis, last updated 12-Mar-2014.
Matrix pictures by cspy, a MATLAB function in the CSparse package.
Matrix graphs by Yifan Hu, AT&T Labs Visualization Group.