Matrix: ATandT/onetone2
Description: AT&T,harmonic balance method, one-tone. More typical for direct factor.
![]() |
![]() |
| (bipartite graph drawing) | (graph drawing of A+A') |
![]() |
![]() |
![]() |
| Matrix properties | |
| number of rows | 36,057 |
| number of columns | 36,057 |
| nonzeros | 222,596 |
| structural full rank? | yes |
| structural rank | 36,057 |
| # of blocks from dmperm | 3,843 |
| # strongly connected comp. | 203 |
| explicit zero entries | 5,032 |
| nonzero pattern symmetry | 11% |
| numeric value symmetry | 7% |
| type | real |
| structure | unsymmetric |
| Cholesky candidate? | no |
| positive definite? | no |
| author | R. Melville, D. Long |
| editor | T. Davis |
| date | 2001 |
| kind | frequency-domain circuit simulation problem |
| 2D/3D problem? | no |
| Ordering statistics: | result |
| nnz(chol(P*(A+A'+s*I)*P')) with AMD | 4,018,036 |
| Cholesky flop count | 1.0e+09 |
| nnz(L+U), no partial pivoting, with AMD | 8,000,015 |
| nnz(V) for QR, upper bound nnz(L) for LU, with COLAMD | 488,470 |
| nnz(R) for QR, upper bound nnz(U) for LU, with COLAMD | 1,065,910 |
Note that all matrix statistics (except nonzero pattern symmetry) exclude the 5032 explicit zero entries.
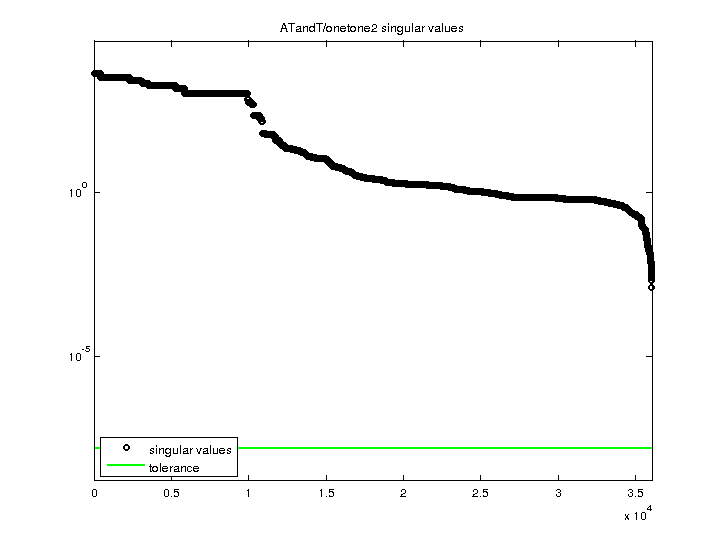
| SVD-based statistics: | |
| norm(A) | 3924.01 |
| min(svd(A)) | 0.00124 |
| cond(A) | 3.16452e+06 |
| rank(A) | 36,057 |
| sprank(A)-rank(A) | 0 |
| null space dimension | 0 |
| full numerical rank? | yes |
| singular values (MAT file): | click here |
| SVD method used: | s = svd (full (A)) |
| status: | ok |

For a description of the statistics displayed above, click here.
Maintained by Tim Davis, last updated 12-Mar-2014.
Matrix pictures by cspy, a MATLAB function in the CSparse package.
Matrix graphs by Yifan Hu, AT&T Labs Visualization Group.